Влада Житомира запевняє, що черга на влаштування дітей до дошкільних закладів відсутня, незважаючи на те, що більшість таких закладів у місті переповнені на 40-70% і навіть удвічі. При цьому у міській раді кажуть, що потреби в запроваджені електронної реєстрації дітей для вступу до ДНЗ з прийомом заяв на офіційному сайті наразі немає, оскільки така реєстрація необхідна за умови існування черги.
Про це йдеться у листі виконавчого комітету Житомирської міськради за підписом заступника мера Житомира Олександра Бочковського, який був надісланий депутату обласної ради Дмитру Кропачову у відповідь на звернення з приводу електронної реєстрації дітей для вступу до ДНЗ.
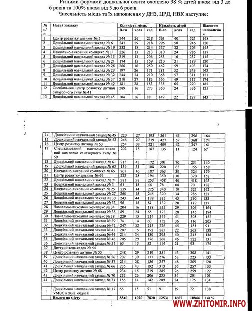
У розпорядженні редакції Житомир.info є копія даного листа.
«Створення сайту міськради з висвітлення на ньому повної інформації щодо мережі дошкільних закладів, напрямків їх діяльності, спрямованості роботи окремих груп педагогів, наявності вільних місць для влаштування дітей є сучасним підходом та потребує впровадження у практику роботи органів самоврядування. Але при запровадженні даної програми необхідно передбачити перевантаженість груп дітьми понад встановлену норму, оскільки переповненість груп у закладі дасть підставу закладу не реєструвати дитину понад встановлену норму. Така ситуація зумовить батьків шукати вільні місця та реєструватися в іншому закладі, можливо не завжди за місцем проживання та зручним для сім’ї. Також при впровадженні програми слід враховувати відсутність у деяких родин доступу до мережі Інтернет, міграцію сімей», - йдеться у листі.
У той же час у міськраді зазначають, що проблему забезпечення права кожної дитини на доступність здобуття дошкільної освіти можливо реалізувати за єдиної умови – наявності достатньої кількості місць у дошкільних навчальних закладах. В даний час дошкільні навчальні заклади перевантажені на 40-70%, а деякі навіть на 105%.
«Електронна реєстрація дітей для вступу до ДНЗ з прийомом заяв на офіційному сайті необхідна за умови існування черги на влаштування дітей до закладів. Черга на влаштування дітей до дошкільних закладів міста відсутня, незважаючи на те, що майже всі заклади міста перевантажені на 40%, окремі на 70%», - повідомив у листі заступник мера Житомира Олександр Бочковський.

Питання запровадження електронної реєстрації для забезпечення доступу кожної дитини до дошкільної освіти обговорювались 18 червня на селекторній нараді, яку проводив віце-прем’єр-міністр Олександр Вілкул з керівниками регіонів.
«Електронна реєстрація до дитячого садочку дозволить батькам вдома заповнити відповідну форму на сайті і відразу побачити чергу своєї дитини до навчального закладу. Влада ж таким чином зможе контролювати наповнюваність дитячих садочків. Житомирщина наразі активно вивчає досвід Дніпропетровської області, яка перша в Україні запровадила електронну реєстрацію до дитячих садочків. До кінця 2013 року планується запровадити електронну реєстрацію в усіх регіонах України, в тому числі і в Житомирській області», - повідомили про результати наради в прес-службі Житомирської облдержадміністрації.




















