181 вулицю та провулок відремонтували в Житомирі у 2015 році за кошти міського бюджету. Ремонт 163 тисяч квадратних метрів доріг платникам податків обійшовся у 27 мільйонів 485 тисяч гривень.
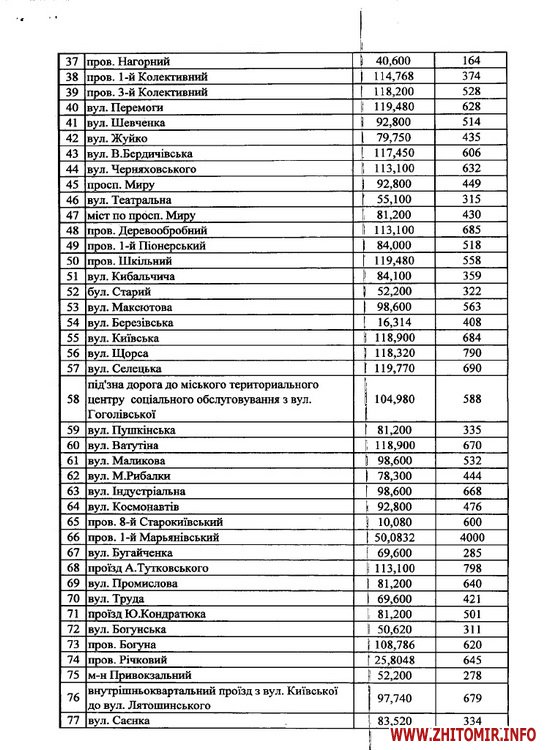
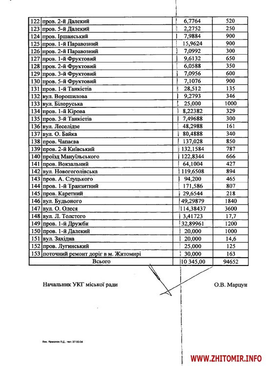
Поточний ремонт провели більш як на 150 вулицях, витративши понад 10 мільйонів, 300 тисяч грн.
Капітальний ремонт на 28 вулицях коштував понад 17 мільйонів, 140 тисяч гривень. Найбільші за площею ремонти проводили по вулиці Северина Наливайка 4700 м2, по вулиці Київській 4853 м2 та по вулиці Селецькій 4000 м2, щоправда на цій дорозі невдовзі утворилася глибока дірка, яку повторно латали.
А ось трійка ремонтів, на які у 2015 році витратили найбільше грошей:
1. вул. Северина Наливайка 1 млн. 113 тис. грн. – 237 грн. за м2
2. вул. Героїв Чорнобиля – 970 тис 999 грн. – 425 грн. за м2
3. вул. Корольова – 970 тис. 191 грн. – 302 грн. за м2
У першому півріччі цього року за гроші міського бюджету відремонтували 55 вулиць та провулків. Витратили на це 7 мільйонів 803 тисячі гривень.
Загалом же впродовж року планується провести ремонти на 143 вулицях та провулках: з них на 29-ти – капітальні ремонти, і поточні – на 114-ти вулицях та провулках. На капітальні ремонти передбачено 26 мільйонів гривень. Поточні ремонти обійдуться у понад 9 мільйонів.


































