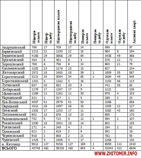
Станом на 09:00 31.12.2020 (за минулу добу – 30 грудня) зареєстровано 482 нових лабораторно підтверджених випадки COVID-19. Від ускладнень померли четверо пацієнтів.
Про це повідомляє пресслужба Житомирської облдержадміністрації з посиланням на інформацію в.о. директора ДУ «Житомирський обласний лабораторний центр» Юрія Лутая.
Всього випадків (з наростаючим підсумком) –39202
Померло (всього) –655
За добу надійшло повідомлення на підозру –482
Всього підозр (з наростаючим підсумком) –40748
Всього одужало – 32043
Активні хворі –6504
Всього проведено ПЛР-тестувань за добу –1279
Всього проведено ПЛР-тестувань (з наростаючим підсумком) –121763
Всього проведено ІФА-тестувань за добу –1023
Всього проведено ІФА-тестувань ( з наростаючим підсумком) –157686

Інфографіка з сайту ОДА
Комунальне некомерційне підприємство “Обласний центр громадського здоров’я” Житомирської обласної ради надає інформацію станом на 30 грудня щодо заповненості ліжок у закладах охорони здоров’я області, визначених для госпіталізації пацієнтів з підтвердженим діагнозом COVID-19:
- у лікарнях, які внесені до переліку закладів охорони здоров`я, що визначені для госпіталізації пацієнтів з гострою респіраторною хворобою COVID-19, спричиненою коронавірусом SARS-CoV-2, – всього 2525 ліжок, забезпечено ліжок киснем — 1887, визначених для госпіталізації пацієнтів з підтвердженим випадком COVID-19, з яких зайнято 603 хворими на COVID-19 та 237 – пацієнтами з підозрою на COVID-19 (31,35% від загальної кількості ліжок);
- кількість ліжок у лікарнях резерву – всього 161 ліжко, визначене для госпіталізації пацієнтів з підтвердженим випадком COVID-19, забезпечено ліжок киснем — 110, з яких 2 зайнято хворим на COVID-19 та 0 – пацієнтами з підозрою на COVID-19.
За інформацією пресслужби МОЗ, станом на 31 грудня 2020 року за добу в Україні зафіксували 9 699 нових випадків коронавірусної хвороби COVID-19. Зокрема, захворіли 341 дитина та 439 медпрацівників.
Як повідомляв Житомир.info, станом на 09:00 год. 30 грудня в Житомирській області лабораторно підтвердили 38720 випадків коронавірусної хвороби. За минулу добу, 29 грудня, зареєстрували 166 нових випадків COVID-19. За період пандемії помер 651 пацієнт, у тому числі минулої доби зафіксували 4 летальні випадки. Одужало загалом 31622 особи.




















