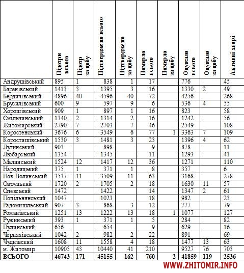
Станом на 09:00 год. 5 лютого 2021 року в Житомирській області лабораторно підтвердили 45155 випадків коронавірусної хвороби. За минулу добу, 4 лютого, зареєстрували 162 нові випадки. За період пандемії від ускладнень COVID-19 померло 760 людей, у тому числі минулої доби зафіксували 2 летальні випадки. Одужало загалом 41859 пацієнтів.
Про це повідомляє пресслужба Житомирської облдержадміністрації з посиланням на інформацію заступника директора ДУ «Житомирський обласний лабораторний центр» Юрія Лутая.
Всього випадків (з наростаючим підсумком) – 45155
Померло (всього) – 760
Всього одужало – 41859
Активні хворі – 2536
Всього проведено ПЛР-тестувань за добу –714
Всього проведено ІФА-тестувань за добу – 924
Комунальне некомерційне підприємство «Обласний центр громадського здоров’я» Житомирської обласної ради надає інформацію станом на 04 лютого щодо заповненості ліжок у закладах охорони здоров’я області, визначених для госпіталізації пацієнтів з підтвердженим діагнозом COVID-19:
у лікарнях, які внесені до переліку закладів охорони здоров`я, що визначені для госпіталізації пацієнтів з гострою респіраторною хворобою COVID-19, спричиненою коронавірусом SARS-CoV-2, – всього 2525 ліжок, забезпечено ліжок киснем — 2222, визначених для госпіталізації пацієнтів з підтвердженим випадком COVID-19, з яких зайнято 475 хворими на COVID-19 та 136 – пацієнтами з підозрою на COVID-19 (22,75% від загальної кількості ліжок);
кількість ліжок у лікарнях резерву – всього 161 ліжко, визначене для госпіталізації пацієнтів з підтвердженим випадком COVID-19, забезпечено ліжок киснем — 114, з яких 0 зайнято хворим на COVID-19 та 0 – пацієнтами з підозрою на COVID-19.

Інфографіка з сайту ОДА
В ОДА з посиланням на дані обласного лабораторного центру надали інформацію про 2 нові летальні випадки, зафіксовані минулої доби.
Так, від ускладнень, викликаних коронавірусною хворобою, померли:
82-річна жителька Романівського району;
75-річний житель міста Коростень.
Наразі на Житомирщині зареєстровано 760 летальних випадків від COVID-19 у:
- Андрушівському районі – 17;
- Баранівському районі – 16;
- Бердичівському районі – 72;
- Брусилівському районі – 6;
- Ємільчинському районі – 16;
- Житомирському районі – 46;
- Коростенському районі – 77;
- Коростишівському районі – 23;
- Лугинському районі — 9;
- Любарському районі – 11;
- Малинському районі – 36;
- Народицькому районі – 8;
- Новоград-Волинському районі – 63;
- Овруцькому районі – 18;
- Олевському районі – 14;
- Попільнянському районі – 18;
- Радомишльському районі – 12;
- Романівському районі – 18;
- Ружинському районі – 5;
- Пулинському районі – 9;
- Хорошівському районі – 16;
- Черняхівському районі – 22;
- Чуднівському районі – 18;
- м. Житомирі – 210.
Як повідомляв Житомир.info, за добу 3 лютого 2021 року в Житомирській області лабораторно підтвердили 283 випадки коронавірусної хвороби, померли четверо людей.




















