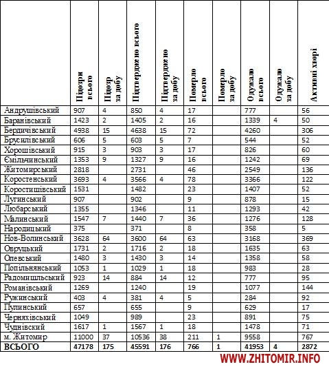
Станом на 09:00 год. 8 лютого 2021 року в Житомирській області лабораторно підтвердили 45591 випадок коронавірусної хвороби. За минулу добу, 7 лютого, зареєстрували 176 нових випадків. За період пандемії від ускладнень COVID-19 померли 766 людей, у тому числі минулої доби зафіксували один летальний випадок. Одужало загалом 41953 пацієнти.
Про це повідомляє пресслужба Житомирської облдержадміністрації з посиланням на інформацію заступника директора ДУ «Житомирський обласний лабораторний центр» Юрія Лутая.
Всього випадків (з наростаючим підсумком) – 45591
Померло (всього) – 766
Всього одужало – 41953
Активні хворі – 2872
Всього проведено ПЛР-тестувань за добу – 446
Комунальне некомерційне підприємство «Обласний центр громадського здоров’я» Житомирської обласної ради надає інформацію станом на 07 лютого щодо заповненості ліжок у закладах охорони здоров’я області, визначених для госпіталізації пацієнтів з підтвердженим діагнозом COVID-19:
у лікарнях, які внесені до переліку закладів охорони здоров`я, що визначені для госпіталізації пацієнтів з гострою респіраторною хворобою COVID-19, спричиненою коронавірусом SARS-CoV-2, – всього 2525 ліжок, забезпечено ліжок киснем — 2225, визначених для госпіталізації пацієнтів з підтвердженим випадком COVID-19, з яких зайнято 445 хворими на COVID-19 та 123 – пацієнтами з підозрою на COVID-19 (21,15% від загальної кількості ліжок);
кількість ліжок у лікарнях резерву – всього 161 ліжко, визначене для госпіталізації пацієнтів з підтвердженим випадком COVID-19, забезпечено ліжок киснем — 114, з яких 0 зайнято хворим на COVID-19 та 0 – пацієнтами з підозрою на COVID-19.

Інфографіка з сайту ОДА
В ОДА з посиланням на дані обласного лабораторного центру надали інформацію про 1 новий летальний випадок, зафіксованих минулої доби.
Так, від ускладнень, викликаних коронавірусною хворобою, померла 81-річна жителька міста Житомир;
Загалом на Житомирщині зареєстровано 766 летальних випадків від COVID-19 у:
- Андрушівському районі – 17;
- Баранівському районі – 16;
- Бердичівському районі – 72;
- Брусилівському районі – 7;
- Ємільчинському районі – 16;
- Житомирському районі – 46;
- Коростенському районі – 78;
- Коростишівському районі – 23;
- Лугинському районі — 9;
- Любарському районі – 11;
- Малинському районі – 36;
- Народицькому районі – 8;
- Новоград-Волинському районі – 63;
- Овруцькому районі – 18;
- Олевському районі – 14;
- Попільнянському районі – 18;
- Радомишльському районі – 12;
- Романівському районі – 19;
- Ружинському районі – 5;
- Пулинському районі – 9;
- Хорошівському районі – 17;
- Черняхівському районі – 23;
- Чуднівському районі – 18;
- м. Житомирі – 211.
Як повідомляв Житомир.info, за добу 6 лютого 2021 року в Житомирській області лабораторно підтвердили 136 випадків коронавірусної хвороби, померли двоє пацієнтів.




















