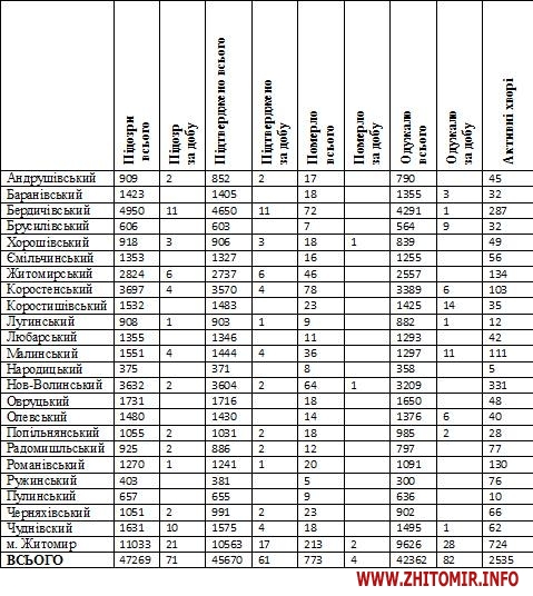
Станом на 09:00 год. 10 лютого 2021 року в Житомирській області лабораторно підтвердили 45670 випадків коронавірусної хвороби. За минулу добу, 9 лютого, зареєстрували 61 новий випадок. За період пандемії від ускладнень COVID-19 померли 773 пацієнти, в тому числі минулої доби зафіксували 4 летальні випадки. Одужало загалом 42362 особи.
Про це повідомляє пресслужба Житомирської облдержадміністрації з посиланням на інформацію заступника директора ДУ «Житомирський обласний лабораторний центр» Юрія Лутая.
Всього випадків (з наростаючим підсумком) – 45670
Померло (всього) – 773
Всього одужало – 42362
Активні хворі – 2535
Всього проведено ПЛР-тестувань за добу – 349
Всього проведено ІФА-тестувань за добу – 703
Комунальне некомерційне підприємство «Обласний центр громадського здоров’я» Житомирської обласної ради надає інформацію станом на 09 лютого щодо заповненості ліжок у закладах охорони здоров’я області, визначених для госпіталізації пацієнтів з підтвердженим діагнозом COVID-19:
у лікарнях, які внесені до переліку закладів охорони здоров`я, що визначені для госпіталізації пацієнтів з гострою респіраторною хворобою COVID-19, спричиненою коронавірусом SARS-CoV-2, – всього 2525 ліжок, забезпечено ліжок киснем — 2225, визначених для госпіталізації пацієнтів з підтвердженим випадком COVID-19, з яких зайнято 452 хворими на COVID-19 та 167– пацієнтами з підозрою на COVID-19 (23,05% від загальної кількості ліжок);
кількість ліжок у лікарнях резерву – всього 161 ліжко, визначене для госпіталізації пацієнтів з підтвердженим випадком COVID-19, забезпечено ліжок киснем — 114, з яких 0 зайнято хворим на COVID-19 та 0 – пацієнтами з підозрою на COVID-19.

Інфографіка з сайту ОДА
В ОДА з посиланням на дані обласного лабораторного центру надали інформацію про 4 нові летальні випадки, зафіксовані минулої доби.
Так, від ускладнень, викликаних коронавірусною хворобою, померли:
53-річна та 89-річна жительки м. Житомир;
69-річна жителька Новоград-Волинського району;
46-річна жителька Хорошівського району.
Загалом на Житомирщині зареєстровано 773 летальних випадки від COVID-19 у:
- Андрушівському районі – 17;
- Баранівському районі – 18;
- Бердичівському районі – 72;
- Брусилівському районі – 7;
- Ємільчинському районі – 16;
- Житомирському районі – 46;
- Коростенському районі – 78;
- Коростишівському районі – 23;
- Лугинському районі — 9;
- Любарському районі – 11;
- Малинському районі – 36;
- Народицькому районі – 8;
- Новоград-Волинському районі – 64;
- Овруцькому районі – 18;
- Олевському районі – 14;
- Попільнянському районі – 18;
- Радомишльському районі – 12;
- Романівському районі – 20;
- Ружинському районі – 5;
- Пулинському районі – 9;
- Хорошівському районі – 18;
- Черняхівському районі – 23;
- Чуднівському районі – 18;
- м. Житомирі – 213.
Як повідомляв Житомир.info, за добу 8 лютого 2021 року в Житомирській області лабораторно підтвердили 18 випадків коронавірусної хвороби, померли троє пацієнтів.




















