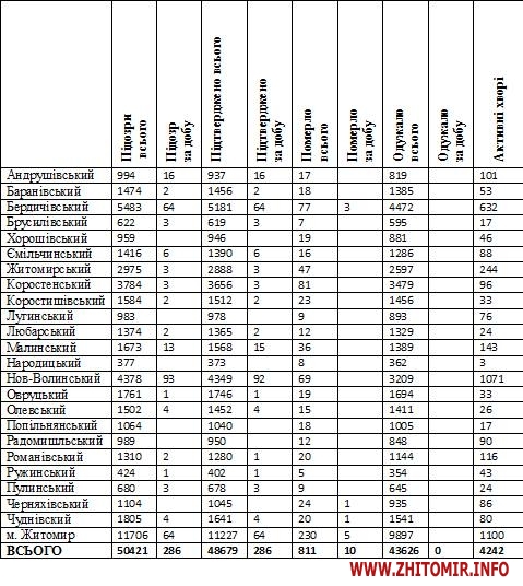
Станом на 09:00 год. 22 лютого 2021 року в Житомирській області лабораторно підтвердили 48679 випадків коронавірусної хвороби. За минулу добу, 21 лютого, було зареєстровано 286 нових випадків. За період пандемії від ускладнень COVID-19 померли 811 пацієнтів, у тому числі минулої доби зафіксували 10 летальних випадків.
Про це повідомляє пресслужба Житомирської облдержадміністрації з посиланням на інформацію заступника директора ДУ «Житомирський обласний лабораторний центр» Юрія Лутая.
Всього випадків (з наростаючим підсумком) – 48679
Померло (всього) – 811
Всього одужало – 43626
Активні хворі –4242
Всього проведено ПЛР-тестувань за добу – 512
Комунальне некомерційне підприємство «Обласний центр громадського здоров’я» Житомирської обласної ради надає інформацію станом на 21 лютого щодо заповненості ліжок у закладах охорони здоров’я області, визначених для госпіталізації пацієнтів з підтвердженим діагнозом COVID-19:
у лікарнях, які внесені до переліку закладів охорони здоров`я, що визначені для госпіталізації пацієнтів з гострою респіраторною хворобою COVID-19, спричиненою коронавірусом SARS-CoV-2, – всього 2525 ліжок, забезпечено ліжок киснем — 2245, визначених для госпіталізації пацієнтів з підтвердженим випадком COVID-19, з яких зайнято 577 хворими на COVID-19 та 128– пацієнтами з підозрою на COVID-19 (26,25% від загальної кількості ліжок);
кількість ліжок у лікарнях резерву – всього 161 ліжко, визначене для госпіталізації пацієнтів з підтвердженим випадком COVID-19, забезпечено ліжок киснем — 114, з яких 0 зайнято хворим на COVID-19 та 0 – пацієнтами з підозрою на COVID-19.

Інфографіка з сайту ОДА
В ОДА з посиланням на дані обласного лабораторного центру надали інформацію про 10 нових летальних випадків, зафіксованих минулої доби.
Так, від ускладнень, викликаних коронавірусною хворобою, померли:
троє чоловіків віком 72, 68 та 78 років та двоє жінок віком 78 та 78 років — жителі міста Житомир;
двоє жінок віком 94 та 74 роки та 64-річний чоловік — жителі міста Бердичів;
87-річна жителька Чуднівського району;
76-річна жителька Черняхівського району.
За даними Міністра охорони здоров’я Максима Степанова, за підсумками доби 21 лютого Житомирщина увійшла до п’ятірки областей з найбільшою кількістю нових випадків коронавірусу.
«За останню добу найбільша кількість підтверджених випадків зареєстрована в Івано-Франківській (515), Вінницькій (328), Житомирській (285), Львівській (279) та Чернівецькій (259) областях», – йдеться у Facebook-дописі Степанова.
Загалом за добу в Україні зафіксували 3206 випадків COVID-19.
Як повідомляв Житомир.info, за добу 16 лютого 2021 року в Житомирській області лабораторно підтвердили 365 випадків COVID-19, за цим показником область була на другому місці в Україні. Від ускладнень хвороби за добу померли 5 пацієнтів.




















