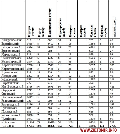
Станом на 09:00 год. 11 лютого 2021 року в Житомирській області лабораторно підтвердили 46036 випадків коронавірусної хвороби. За минулу добу, 10 лютого, зареєстровано 366 нових випадків. За період пандемії від ускладнень COVID-19 померли 774 пацієнти, в тому числі минулої доби було зафіксовано 1 летальний випадок. Одужало загалом 42496 осіб.
Про це повідомляє пресслужба Житомирської облдержадміністрації з посиланням на інформацію заступника директора ДУ «Житомирський обласний лабораторний центр» Юрія Лутая.
Всього випадків (з наростаючим підсумком) – 46036
Померло (всього) – 774
Всього одужало – 42496
Активні хворі – 2766
Всього проведено ПЛР-тестувань за добу – 815
Всього проведено ІФА-тестувань за добу – 1840
Комунальне некомерційне підприємство «Обласний центр громадського здоров’я» Житомирської обласної ради надає інформацію станом на 10 лютого щодо заповненості ліжок у закладах охорони здоров’я області, визначених для госпіталізації пацієнтів з підтвердженим діагнозом COVID-19:
у лікарнях, які внесені до переліку закладів охорони здоров`я, що визначені для госпіталізації пацієнтів з гострою респіраторною хворобою COVID-19, спричиненою коронавірусом SARS-CoV-2, – всього 2525 ліжок, забезпечено ліжок киснем — 2225, визначених для госпіталізації пацієнтів з підтвердженим випадком COVID-19, з яких зайнято 453 хворими на COVID-19 та 130– пацієнтами з підозрою на COVID-19 (21,71% від загальної кількості ліжок);
кількість ліжок у лікарнях резерву – всього 161 ліжко, визначене для госпіталізації пацієнтів з підтвердженим випадком COVID-19, забезпечено ліжок киснем — 114, з яких 0 зайнято хворим на COVID-19 та 0 – пацієнтами з підозрою на COVID-19.

Інфографіка з сайту ОДА
В ОДА з посиланням на дані обласного лабораторного центру надали інформацію про 1 новий летальний випадок, зафіксований минулої доби. Так, від ускладнень, викликаних коронавірусною хворобою, померла 78-річна жителька Любарського району.
Загалом на Житомирщині зареєстровано 774 летальні випадки від COVID-19 у:
- Андрушівському районі – 17;
- Баранівському районі – 18;
- Бердичівському районі – 72;
- Брусилівському районі – 7;
- Ємільчинському районі – 16;
- Житомирському районі – 46;
- Коростенському районі – 78;
- Коростишівському районі – 23;
- Лугинському районі — 9;
- Любарському районі – 12;
- Малинському районі – 36;
- Народицькому районі – 8;
- Новоград-Волинському районі – 64;
- Овруцькому районі – 18;
- Олевському районі – 14;
- Попільнянському районі – 18;
- Радомишльському районі – 12;
- Романівському районі – 20;
- Ружинському районі – 5;
- Пулинському районі – 9;
- Хорошівському районі – 18;
- Черняхівському районі – 23;
- Чуднівському районі – 18;
- м. Житомирі – 213.
Як повідомляв Житомир.info, за добу 9 лютого 2021 року в Житомирській області лабораторно підтвердили 61 випадок коронавірусної хвороби, померли четверо пацієнтів.




















