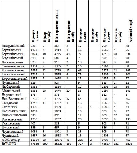
Станом на 09:00 год. 12 лютого 2021 року в Житомирській області лабораторно підтвердили 46222 випадків коронавірусної хвороби. За минулу добу, 11 лютого, зареєстрували 186 нових випадків. За період пандемії від ускладнень хвороби померли 777 пацієнтів, у тому числі минулої доби зафіксували три летальні випадки. Одужало загалом 42637 осіб.
Про це повідомила пресслужба Житомирської облдержадміністрації з посиланням на інформацію заступника директора ДУ «Житомирський обласний лабораторний центр» Юрія Лутая.
Всього випадків (з наростаючим підсумком) – 46222
Померло (всього) – 777
Всього одужало – 42637
Активні хворі – 2808
Всього проведено ПЛР-тестувань за добу – 710
Всього проведено ІФА-тестувань за добу – 1006
Комунальне некомерційне підприємство «Обласний центр громадського здоров’я» Житомирської обласної ради надає інформацію станом на 11 лютого щодо заповненості ліжок у закладах охорони здоров’я області, визначених для госпіталізації пацієнтів з підтвердженим діагнозом COVID-19:
у лікарнях, які внесені до переліку закладів охорони здоров`я, що визначені для госпіталізації пацієнтів з гострою респіраторною хворобою COVID-19, спричиненою коронавірусом SARS-CoV-2, – всього 2525 ліжок, забезпечено ліжок киснем — 2225, визначених для госпіталізації пацієнтів з підтвердженим випадком COVID-19, з яких зайнято 484 хворими на COVID-19 та 143– пацієнтами з підозрою на COVID-19 (23,34% від загальної кількості ліжок);
кількість ліжок у лікарнях резерву – всього 161 ліжко, визначене для госпіталізації пацієнтів з підтвердженим випадком COVID-19, забезпечено ліжок киснем — 114, з яких 0 зайнято хворим на COVID-19 та 0 – пацієнтами з підозрою на COVID-19.

Інфографіка з сайту ОДА
В ОДА з посиланням на дані обласного лабораторного центру надали інформацію про 3 нові летальні випадки, зафіксовані минулої доби.
Так, від ускладнень, викликаних коронавірусною хворобою, померли:
71-річна жителька міста Житомир;
74-річний житель Олевського району;
72-річна жителька Житомирського району.

Як повідомляв Житомир.info, за добу 10 лютого 2021 року в Житомирській області лабораторно підтвердили 366 випадків COVID-19, помер один пацієнт.




















