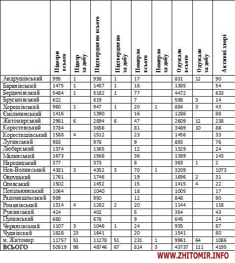
Станом на 09:00 год. 23 лютого 2021 року в Житомирській області лабораторно підтвердили 48746 випадків коронавірусної хвороби. За минулу добу, 22 лютого, було зареєстровано 67 нових випадків. За період пандемії від ускладнень COVID-19 померли 814 пацієнтів, у тому числі минулої доби зафіксували 3 летальні випадки. Одужало загалом 43737 осіб.
Про це повідомляє пресслужба Житомирської облдержадміністрації з посиланням на інформацію заступника директора ДУ «Житомирський обласний лабораторний центр» Юрія Лутая.
Всього випадків (з наростаючим підсумком) – 48746
Померло (всього) – 814
Всього одужало – 43737
Активні хворі – 4195
Всього проведено ПЛР-тестувань за добу – 437
Комунальне некомерційне підприємство «Обласний центр громадського здоров’я» Житомирської обласної ради надає інформацію станом на 22 лютого щодо заповненості ліжок у закладах охорони здоров’я області, визначених для госпіталізації пацієнтів з підтвердженим діагнозом COVID-19:
у лікарнях, які внесені до переліку закладів охорони здоров`я, що визначені для госпіталізації пацієнтів з гострою респіраторною хворобою COVID-19, спричиненою коронавірусом SARS-CoV-2, – всього 2525 ліжок, забезпечено ліжок киснем — 2245, визначених для госпіталізації пацієнтів з підтвердженим випадком COVID-19, з яких зайнято 601 хворими на COVID-19 та 158 – пацієнтами з підозрою на COVID-19 (26,25% від загальної кількості ліжок);
кількість ліжок у лікарнях резерву – всього 161 ліжко, визначене для госпіталізації пацієнтів з підтвердженим випадком COVID-19, забезпечено ліжок киснем — 114, з яких 0 зайнято хворим на COVID-19 та 0 – пацієнтами з підозрою на COVID-19.
В ОДА з посиланням на дані обласного лабораторного центру надали інформацію про три нові летальні випадки, зафіксовані минулої доби.
Так, від ускладнень, викликаних коронавірусною хворобою, померли:
73-річний житель міста Житомир;
84-річна жителька Новоград-Волинського району;
70-річна жителька Хорошівського району.
Як повідомляв Житомир.info, за добу 21 лютого 2021 року в Житомирській області лабораторно підтвердили 286 випадків корона вірусної хвороби, за цим показником область була на третьому місці в Україні. За добу зареєстрували 10 летальних випадків.




















