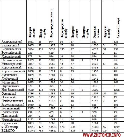
Станом на 09:00 год. 25 лютого 2021 року в Житомирській області лабораторно підтвердили 49621 випадок коронавірусної хвороби. За минулу добу, 24 лютого, було зареєстровано 717 нових випадків COVID-19. За період пандемії від ускладнень хвороби померли 825 пацієнтів, у тому числі минулої доби зафіксували 5 летальних випадків. Одужало загалом 44084 особи.
Про це повідомляє пресслужба Житомирської облдержадміністрації з посиланням на інформацію заступника директора ДУ «Житомирський обласний лабораторний центр» Юрія Лутая.
Всього випадків (з наростаючим підсумком) – 49621
Померло (всього) – 825
Всього одужало – 44084
Активні хворі – 4712
Всього проведено ПЛР-тестувань за добу – 1537
Комунальне некомерційне підприємство «Обласний центр громадського здоров’я» Житомирської обласної ради надає інформацію станом на 24 лютого щодо заповненості ліжок у закладах охорони здоров’я області, визначених для госпіталізації пацієнтів з підтвердженим діагнозом COVID-19:
у лікарнях, які внесені до переліку закладів охорони здоров`я, що визначені для госпіталізації пацієнтів з гострою респіраторною хворобою COVID-19, спричиненою коронавірусом SARS-CoV-2, – всього 2540 ліжок, забезпечено ліжок киснем — 2260, визначених для госпіталізації пацієнтів з підтвердженим випадком COVID-19, з яких зайнято 644 хворими на COVID-19 та 187 – пацієнтами з підозрою на COVID-19 (30,77% від загальної кількості ліжок);
кількість ліжок у лікарнях резерву – всього 161 ліжко, визначене для госпіталізації пацієнтів з підтвердженим випадком COVID-19, забезпечено ліжок киснем — 114, з яких 0 зайнято хворим на COVID-19 та 0 – пацієнтами з підозрою на COVID-19.

Інфографіка з сайту ОДА
В ОДА з посиланням на дані обласного лабораторного центру надали інформацію про п’ять нових летальних випадків, зафіксованих минулої доби.
Так, від ускладнень, викликаних коронавірусною хворобою, померли:
80-річна жителька Ємільчинського району;
81-річний чоловік та жінки віком 67 та 74 роки — жителі Новоград-Волинського району;
64-річна жителька Радомишльського району.
Загалом на Житомирщині зареєстровано 825 летальних випадків від COVID-19 у:
- Андрушівському районі – 17;
- Баранівському районі – 18;
- Бердичівському районі – 77;
- Брусилівському районі – 7;
- Ємільчинському районі – 18;
- Житомирському районі – 47;
- Коростенському районі – 81;
- Коростишівському районі – 23;
- Лугинському районі — 9;
- Любарському районі – 12;
- Малинському районі – 36;
- Народицькому районі – 8;
- Новоград-Волинському районі – 74;
- Овруцькому районі – 19;
- Олевському районі – 15;
- Попільнянському районі – 18;
- Радомишльському районі – 13;
- Романівському районі – 21;
- Ружинському районі – 5;
- Пулинському районі – 9;
- Хорошівському районі – 20;
- Черняхівському районі – 24;
- Чуднівському районі – 20;
- м. Житомирі – 234.
Зазначимо, що, за даними Міністра охорони здоров’я Максима Степанова, Житомирщина – «лідер» за кількістю нововиявлених випадків за добу. Однак вказано, що за добу в області зареєстрували 711 випадків COVID-19 (за даними ОДА – 717).
«За останню добу найбільша кількість підтверджених випадків зареєстрована в Івано-Франківській (711), Житомирській (711), Закарпатській (654), м. Київ (652) та Вінницькій (639) областях», – йдеться у дописі.
Загалом станом на 25 лютого 2021 року (за добу 24 лютого) в Україні зафіксовано 8 147 нових випадків коронавірусної хвороби COVID-19. Зокрема, захворіли 483 дитини та 301 медпрацівник.
За весь час пандемії в Україні:
захворіло – 1 325 841 особа;
одужало – 1 159 311 осіб;
летальних випадків – 25 596.
Як повідомляв Житомир.info, за добу 23 лютого 2021 року в Житомирській області лабораторно підтвердили 158 нових випадків коронавірусної хвороби, померло 6 пацієнтів.




















