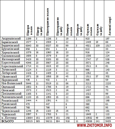
Станом на 09:00 год. 11 березня 2021 року в Житомирській області лабораторно підтвердили 56211 випадків коронавірусної хвороби. За минулу добу, 10 березня, було зареєстровано 384 нових випадків COVID-19. За період пандемії від ускладнень хвороби померло 918 пацієнтів, у тому числі минулої доби зафіксували 11 летальних випадків. Одужало загалом 45858 осіб.
Про це повідомляє пресслужба Житомирської облдержадміністрації з посиланням на інформацію заступника директора ДУ «Житомирський обласний лабораторний центр» Юрія Лутая.
Всього випадків (з наростаючим підсумком) – 56211
Померло (всього) – 918
Всього одужало – 45858
Активні хворі – 9435
Всього проведено ПЛР-тестувань за добу –803
Комунальне некомерційне підприємство «Обласний центр громадського здоров’я» Житомирської обласної ради надає інформацію станом на 10 березня щодо заповненості ліжок у закладах охорони здоров’я області, визначених для госпіталізації пацієнтів з підтвердженим діагнозом COVID-19:
у лікарнях, які внесені до переліку закладів охорони здоров`я, що визначені для госпіталізації пацієнтів з гострою респіраторною хворобою COVID-19, спричиненою коронавірусом SARS-CoV-2, – всього 2596 ліжок, забезпечено ліжок киснем — 2308, визначених для госпіталізації пацієнтів з підтвердженим випадком COVID-19, з яких зайнято 1151 хворими на COVID-19 та 235 – пацієнтами з підозрою на COVID-19 (53,39% від загальної кількості ліжок);
кількість ліжок у лікарнях резерву – всього 161 ліжко, визначене для госпіталізації пацієнтів з підтвердженим випадком COVID-19, забезпечено ліжок киснем — 114, з яких 1 зайнято хворим на COVID-19 та 0 – пацієнтами з підозрою на COVID-19.

Інфографіка з сайту ОДА
В ОДА з посиланням на дані обласного лабораторного центру надали інформацію про 11 нових летальних випадків, зафіксованих минулої доби.
Так, від ускладнень, викликаних коронавірусною хворобою, померли:
71-річний чоловік та двоє жінок віком 66 та 93 роки — жителі міста Бердичів;
77-річна жителька міста Житомир;
46-річна жінка та 72-річний чоловік — жителі міста Малин;
69-річна жителька міста Новоград-Волинський;
61-річна жителька Андрушівського району;
двоє чоловіків віком 70 та 85 років — жителі Житомирського району;
71-річна жителька Лугинського району.
За даними міністра охорони здоров’я Максима Степанова, станом на 11 березня 2021 року (за добу 10 березня) в Україні зафіксовано 9 084 нових випадки коронавірусної хвороби COVID-19. Зокрема, захворіли 442 дитини та 348 медпрацівників.
Також за минулу добу
госпіталізовано – 4 250 осіб;
летальних випадків – 262;
одужало – 5 330 осіб;
здійснено тестувань за добу – 106 464 (зокрема методом ПЛР – 47 365, методом ІФА – 18 615, досліджень експрес-тестами на антиген до SARS-CoV-2 – 40 484).
За весь час пандемії в Україні
захворіло – 1 425 522 особи;
одужало – 1 210 246 осіб;
летальних випадків – 27 685;
проведено ПЛР-тестувань – 7 235 711.
За останню добу найбільша кількість підтверджених випадків зареєстрована у м. Київ (853), Вінницькій (659), Львівській (600), Одеській (588) та Чернівецькій (587) областях.
Як повідомляв Житомир.info, за добу 9 березня 2021 року в Житомирській області лабораторно підтвердили 145 випадків корона вірусноїхвороби, померло17 пацієнтів.




















