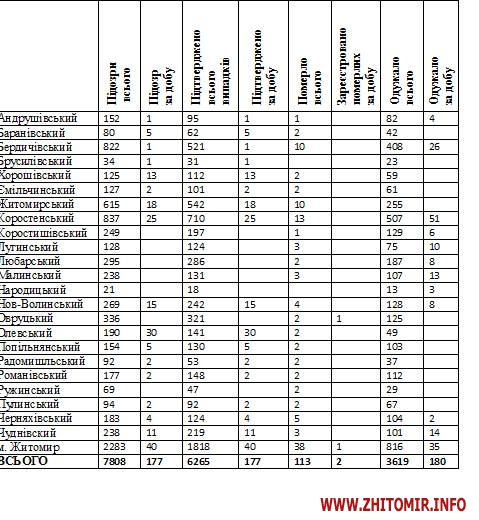
Станом на 09:00 год. 2 жовтня в Житомирській області лабораторно підтвердили 6265 випадків коронавірусної хвороби. Зокрема за минулу добу, 1 жовтня, зареєстрували новий антирекорд — 177 інфікувань. Збільшилася і кількість летальних випадків: за добу від ускладнень COVID-19 померли двоє людей.
Про це повідомляє пресслужба Житомирської облдержаміністрації з посиланням на дані обласного лабораторного центру.
Всього випадків (з наростаючим підсумком) – 6265.
Одужало всього – 3619.
Померло всього – 113.
За добу надійшло повідомлення про підозру – 177.
Всього проведено ПЛР-тестувань за добу – 488.
Всього проведено ІФА-тестувань за добу – 869.

Зображення з сайту ОДА
«Комунальне некомерційне підприємство “Обласний центр громадського здоров’я” Житомирської обласної ради надає інформацію станом на 01 жовтня щодо заповненості ліжок у закладах охорони здоров’я області, визначених для госпіталізації пацієнтів з підтвердженим діагнозом COVID-19: у закладах охорони здоров’я першої хвилі – всього ліжок 1060; ліжок, визначених для госпіталізації пацієнтів з підтвердженим випадком COVID-19, з яких 349 зайнято хворими на COVID-19 (32,9% від загальної кількості ліжок)», – йдеться у повідомленні.
За даними МОЗ, за добу 1 жовтня в Україні зафіксовано 4 633 нових випадки коронавірусної хвороби COVID-19 – це антирекорд кількості нових хворих за добу.
«2 жовтня (станом на 9:00) в Україні 217 661 лабораторно підтверджений випадок COVID-19, із них 4 261 летальний, 96 591 пацієнт одужав. За добу зафіксовано 4 633 нових випадки. Загалом За добу одужало 2 193 пацієнти», – інформує МОЗ.

Зображення з Facebook-допису МОЗ
Нагадаємо, попередній антирекорд за кількістю нових випадків COVID-19 в Житомирській області зареєстрували за добу 30 вересня 2020 року, коли підтвердили 165 інфікувань. Загалом станом на ранок 1 жовтня в області було лабораторно підтверджено 6088 випадків коронавірусу. Померлих нараховувалося 111.




















