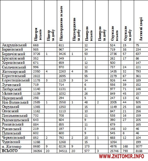
Станом на 09:00 год. 15 грудня в Житомирській області лабораторно підтверджено 34511 випадків коронавірусної хвороби. За минулу добу, 14 грудня, зареєстрували 20 інфікувань. За період пандемії померли 577 пацієнтів, у тому числі три летальні випадки зафіксували минулої доби. Одужало загалом 25746 осіб.
Про це повідомляє пресслужба Житомирської облдержадміністрації з посиланням на інформацію в.о. директора ДУ «Житомирський обласний лабораторний центр» Юрія Лутая.
Всього випадків (з наростаючим підсумком) – 34511
Померло (всього) – 577 (за минулу добу – 3 )
Всього одужало – 25746
Активні хворі – 8188
Всього проведено ПЛР-тестувань за добу – 67
Всього проведено ІФА-тестувань за добу –1487
Комунальне некомерційне підприємство “Обласний центр громадського здоров’я” Житомирської обласної ради надає інформацію станом на 14 грудня щодо заповненості ліжок у закладах охорони здоров’я області, визначених для госпіталізації пацієнтів з підтвердженим діагнозом COVID-19:
у лікарнях, які внесені до переліку закладів охорони здоров`я, що визначені для госпіталізації пацієнтів з гострою респіраторною хворобою COVID-19, спричиненою коронавірусом SARS-CoV-2, – всього 2525 ліжок, забезпечено ліжок киснем — 1567, визначених для госпіталізації пацієнтів з підтвердженим випадком COVID-19, з яких зайнято 679 хворими на COVID-19 та 172 – пацієнтами з підозрою на COVID-19 (31,68% від загальної кількості ліжок);
кількість ліжок у лікарнях резерву – всього 161 ліжко, визначене для госпіталізації пацієнтів з підтвердженим випадком COVID-19, забезпечено ліжок киснем — 96, з яких 0 зайнято хворими на COVID-19 та 11 – пацієнтами з підозрою на COVID-19.

Інфографіка з сайту ОДА
Пресслужба ОДА з посиланням на дані обласного лабораторного центру надала інформацію щодо 3 нових летальних випадків, спричинених ускладненнями COVID-19.
Так, від ускладнень, викликаних коронавірусною хворобою, померли:
двоє чоловіків віком 93 та 59-років — жителі Новоград-Волинського району;
82-річний житель Черняхівського району.
Загалом на Житомирщині зареєстровано 577 летальних випадків від COVID-19 у:
- Андрушівському районі – 12;
- Баранівському районі – 14;
- Бердичівському районі – 53;
- Брусилівському районі – 1;
- Ємільчинському районі – 12;
- Житомирському районі – 35;
- Коростенському районі – 55;
- Коростишівському районі – 14;
- Лугинському районі — 6;
- Любарському районі – 8;
- Малинському районі – 26;
- Народицькому районі – 5;
- Новоград-Волинському районі – 48;
- Овруцькому районі – 15;
- Олевському районі – 10;
- Попільнянському районі – 11;
- Радомишльському районі – 9;
- Романівському районі – 11;
- Ружинському районі – 3;
- Пулинському районі – 9;
- Хорошівському районі – 12;
- Черняхівському районі – 20;
- Чуднівському районі – 15;
- м. Житомирі – 173.
За даними Міністра охорони здоров’я Максима Степанова, станом на 15 грудня 2020 року в Україні зафіксовано 8 416 нових випадків коронавірусної хвороби COVID-19. Зокрема, захворіли 412 дітей та 447 медпрацівників.

Інфографіка з Facebook-допису Максима Степанова
Також за минулу добу
- госпіталізовано – 1 479 осіб;
- летальних випадків – 233;
- одужало – 16 150 осіб;
- здійснено тестувань за добу – 55 856 (зокрема методом ПЛР – 31 963, методом ІФА – 23 893).
За весь час пандемії в Україні
- захворіло – 909 082 особи;
- одужало – 522 868 осіб;
- летальних випадків – 15 480;
- проведено ПЛР-тестувань – 5 084 649.
Як повідомляв Житомир.info, за попередню добу, 13 грудня 2020 року, в Житомирській області лабораторно підтвердили 418 випадків коронавірусної хвороби, четверо пацієнтів померли.




















