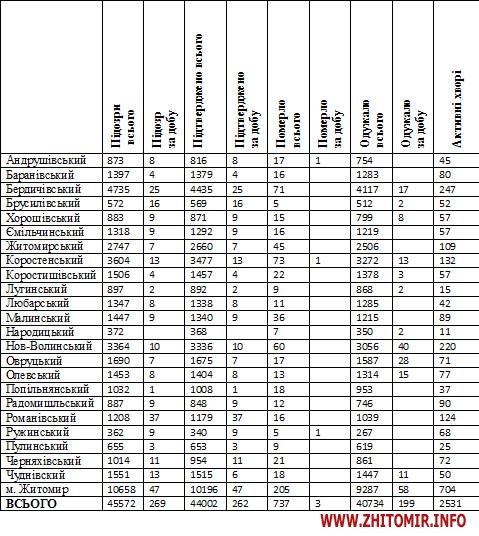
Станом на 09:00 год. 28 січня 2021 року в Житомирській області лабораторно підтвердили 44002 випадки коронавірусної хвороби. Минулої доби, 27 січня, зареєструвала 262 нові випадки. За період пандемії від ускладнень COVID-19 померли 737 людей, у тому числі троє – минулої доби. Хворобу подолали загалом 40734 особи.
Про це повідомляє пресслужба Житомирської облдержадміністрації з посиланням на інформацію директора ДУ «Житомирський обласний лабораторний центр» Зіновія Парамонова.
Всього випадків (з наростаючим підсумком) – 44002
Померло (всього) – 737
Всього одужало – 40734
Активні хворі – 2531
Всього проведено ПЛР-тестувань за добу – 770
Всього проведено ІФА-тестувань за добу – 1547
Комунальне некомерційне підприємство «Обласний центр громадського здоров’я» Житомирської обласної ради надає інформацію станом на 27 січня щодо заповненості ліжок у закладах охорони здоров’я області, визначених для госпіталізації пацієнтів з підтвердженим діагнозом COVID-19:
у лікарнях, які внесені до переліку закладів охорони здоров`я, що визначені для госпіталізації пацієнтів з гострою респіраторною хворобою COVID-19, спричиненою коронавірусом SARS-CoV-2, – всього 2525 ліжок, забезпечено ліжок киснем — 2153, визначених для госпіталізації пацієнтів з підтвердженим випадком COVID-19, з яких зайнято 414 хворими на COVID-19 та 195 – пацієнтами з підозрою на COVID-19 (22,67% від загальної кількості ліжок);
кількість ліжок у лікарнях резерву – всього 161 ліжко, визначене для госпіталізації пацієнтів з підтвердженим випадком COVID-19, забезпечено ліжок киснем — 114, з яких 0 зайнято хворим на COVID-19 та 0 – пацієнтами з підозрою на COVID-19.

Інфографіка з сайту ОДА
В ОДА з посиланням на дані обласного лабораторного центру надали інформацію про три нові летальні випадки, зафіксовані минулої доби.
Так, від ускладнень, викликаних коронавірусною хворобою, померли:
88-річна жителька Андрушівського району;
81-річний житель міста Коростень;
62-річний житель Ружинського району.
Загалом на Житомирщині зареєстровано 737 летальних випадків від COVID-19 у:
- Андрушівському районі – 17;
- Баранівському районі – 16;
- Бердичівському районі – 71;
- Брусилівському районі – 5;
- Ємільчинському районі – 16;
- Житомирському районі – 44;
- Коростенському районі – 73;
- Коростишівському районі – 22;
- Лугинському районі — 9;
- Любарському районі – 11;
- Малинському районі – 36;
- Народицькому районі – 7;
- Новоград-Волинському районі – 60;
- Овруцькому районі – 17;
- Олевському районі – 13;
- Попільнянському районі – 18;
- Радомишльському районі – 12;
- Романівському районі – 16;
- Ружинському районі – 5;
- Пулинському районі – 9;
- Хорошівському районі – 15;
- Черняхівському районі – 21;
- Чуднівському районі – 18;
- м. Житомирі – 206.
Як повідомляв Житомир.info, за добу 26 січня 2021 року в Житомирській області лабораторно підтвердили 107 випадків коронавірусної хвороби, померли двоє людей.




















