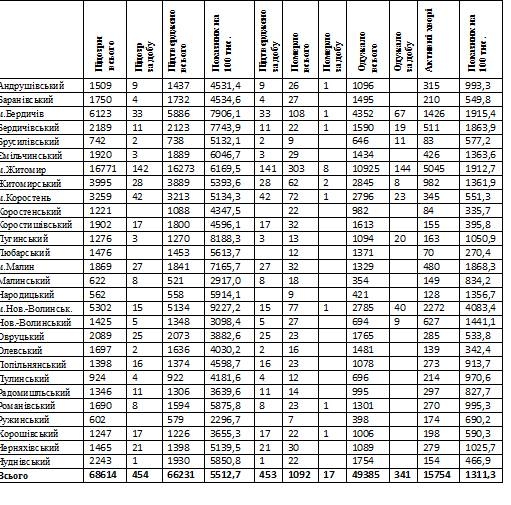
За добу 23 березня у Житомирській області зареєстрували 17 летальних випадків, спричинених ускладненнями коронавірусної хвороби. Загалом за період пандемії від COVID-19 померли 1092 жителі області.
Про це повідомляє пресслужба Житомирської облдержадміністрації з посиланням на інформацію обласного лабораторного центру.
Так, від ускладнень, викликаних коронавірусною хворобою, померли:
- 65-річна жителька Андрушівського району;
- 94-річна жителька Бердичівського району;
- двоє жінок віком 45 та 69 років – жительки Житомирського району;
- 54-річна жителька Романівського району;
- 88-річний житель Хорошівського району;
- вісім жителів міста Житомир – шестеро чоловіків віком 59, 64, 69, 74, 82 та 83 роки, двоє жінок віком 58 та 74 роки;
- 64-річний житель міста Бердичів;
- 66-річний житель міста Новоград-Волинський;
- 75-річна жителька міста Коростень.

Нагадаємо, за добу 23 березня в Житомирській області лабораторно підтвердили 453 випадки коронавірусної хвороби. Загалом в області зареєстрували 66231 інфікування вірусом COVID-19.
Як повідомляв Житомир.info, за добу 22 березня 2021 року в Житомирській області зареєстрували 186 випадків COVID-19.




















