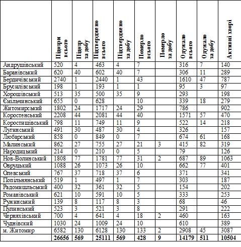
Станом на 09:00 год. 20 листопада у Житомирській області лабораторно підтвердили 25111 випадків коронавірусної хвороби. Зокрема, за минулу добу, 19 листопада, зареєстрували 569 нових інфікувань. За період пандемії від ускладнень COVID-19 померли 428 жителів області, в тому числі за минулу добу – 9. Подолали хворобу загалом 14179 осіб.
Про це повідомляє пресслужба Житомирської облдержадміністрації з посиланням на інформацію заступника директора ДУ «Житомирський обласний лабораторний центр» Олега Василькова.
Всього випадків (з наростаючим підсумком) – 25111
Померло (всього) – 428
Всього одужало – 14179
Активні хворі – 10504
Комунальне некомерційне підприємство “Обласний центр громадського здоров’я” Житомирської обласної ради надає інформацію станом на 19 листопада щодо заповненості ліжок у закладах охорони здоров’я області, визначених для госпіталізації пацієнтів з підтвердженим діагнозом COVID-19:
у закладах охорони здоров’я першої хвилі – всього 2454 ліжка, забезпечено ліжок киснем — 1280, визначених для госпіталізації пацієнтів з підтвердженим випадком COVID-19, з яких 829 зайнято хворими на COVID-19 та 413 – пацієнтами з підозрою на COVID-19 (50,6% від загальної кількості ліжок);
у закладах охорони здоров’я другої хвилі – всього 212 ліжка, визначених для госпіталізації пацієнтів з підтвердженим випадком COVID-19, з яких 0 зайнято хворими на COVID-19 та 0 – пацієнтами з підозрою на COVID-19 (0% від загальної кількості ліжок).

Зображення з сайту ОДА
В ОДА з посиланням на дані обласного лабораторно центру надали інформацію щодо нових летальних випадків, спричинених ускладненнями COVID-19.
Так, від ускладнень, викликаних коронавірусною хворобою, померли:
- двоє жінок віком 60 та 82 роки — жительки міста Житомир;
- 60-річна жінка та 50-річний чоловік — жителі Черняхівського району;
- 60-річна жінка та двоє чоловіків віком 74 та 82 роки — жителі міста Малин;
- двоє чоловіків віком 73 та 74 роки — жителі міста Новоград-Волинський.
Загалом на Житомирщині зареєстровано 428 летальних випадків від COVID-19 у:
- Андрушівському районі – 7;
- Баранівському районі – 7;
- Бердичівському районі – 43;
- Брусилівському районі – 1
- Ємільчинському районі – 10;
- Житомирському районі – 29
- Коростенському районі – 40;
- Коростишівському районі – 9;
- Лугинському районі — 4;
- Любарському районі – 7;
- Малинському районі – 21;
- Народицькому районі – 3;
- Новоград-Волинському районі – 31;
- Овруцькому районі – 10;
- Олевському районі – 6;
- Попільнянському районі – 7;
- Радомишльському районі – 5;
- Романівському районі – 5;
- Ружинському районі – 3;
- Пулинському районі – 8;
- Хорошівському районі – 9;
- Черняхівському районі – 18;
- Чуднівському районі – 10;
- м. Житомирі – 133.

Таблиця обласного лабораторного центру (станом на 20.11.2020)
За даними Міністра охорони здоров’я Максима Степанова, за добу 19 листопада в Україні зафіксовано 14 575 нових випадків коронавірусної хвороби COVID-19. Зокрема, захворіли 549 дітей та 613 медпрацівників.

Зображення з Facebook-допису Максима Степанова
Як повідомляв Житомир.info, за добу18 листопада 2020 року в Житомирській області лабораторно підтвердили 554 випадків коронавірусної хвороби та зареєстрували 9 людей летальних випадків, спричинених ускладненнями COVID-19.




















