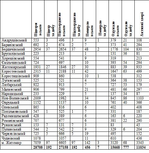
Станом на 09:00 год. 24 листопада в Житомирській області лабораторно підтверджено 27158 випадків коронавірусної хвороби. Зокрема, за минулу добу, 23 листопада, зареєстрували 192 нових інфікування COVID-19. За період пандемії від ускладнень хвороби померли 456 людей, у тому числі за минулу добу зафіксовано 7 летальних випадків. Одужало загалом 15668 осіб.
Про це повідомляє пресслужба Житомирської облдержадміністрації з посиланням на інформацію в.о. директора ДУ «Житомирський обласний лабораторний центр» Юрія Лутая.
Всього випадків (з наростаючим підсумком) – 27158
Померло (всього) – 456
Всього одужало – 15668
Активні хворі – 11034
Комунальне некомерційне підприємство “Обласний центр громадського здоров’я” Житомирської обласної ради надає інформацію станом на 23 листопада щодо заповненості ліжок у закладах охорони здоров’я області, визначених для госпіталізації пацієнтів з підтвердженим діагнозом COVID-19:
у лікарнях, які внесені до переліку закладів охорони здоров`я, що визначені для госпіталізації пацієнтів з гострою респіраторною хворобою COVID-19, спричиненою коронавірусом SARS-CoV-2, – всього 2505 ліжок, забезпечено ліжок киснем — 1411, визначених для госпіталізації пацієнтів з підтвердженим випадком COVID-19, з яких 854 зайнято хворими на COVID-19 та 356 – пацієнтами з підозрою на COVID-19 (48,3% від загальної кількості ліжок);
кількість ліжок у лікарнях резерву – всього 161 ліжко, визначене для госпіталізації пацієнтів з підтвердженим випадком COVID-19, забезпечено ліжок киснем — 111, з яких 0 зайнято хворими на COVID-19 та 0 – пацієнтами з підозрою на COVID-19 (0% від загальної кількості ліжок).

Зображення з сайту ОДА
В ОДА з посиланням на дані обласного лабораторного центру надали інформацію стосовно нових летальних випадків, спричинених ускладненнями коронавірусу.
Так, від ускладнень, викликаних коронавірусною хворобою, померли:
- 58-річний чоловік та 95-річна жінка — жителі міста Бердичів;
- 63-річна жителька міста Коростишів;
- троє жінок віком 70, 61 та 71 рік — жителі міста Житомир;
- 69-річна жителька Андрушівського району.
Загалом на Житомирщині зареєстровано 456 летальних випадків від COVID-19 у:
- Андрушівському районі – 9;
- Баранівському районі – 7;
- Бердичівському районі – 48;
- Брусилівському районі – 1
- Ємільчинському районі – 10;
- Житомирському районі – 30;
- Коростенському районі – 42;
- Коростишівському районі – 10;
- Лугинському районі — 4;
- Любарському районі – 7;
- Малинському районі – 21;
- Народицькому районі – 5;
- Новоград-Волинському районі – 34;
- Овруцькому районі – 10;
- Олевському районі – 6;
- Попільнянському районі – 7;
- Радомишльському районі – 6;
- Романівському районі – 6;
- Ружинському районі – 3;
- Пулинському районі – 9;
- Хорошівському районі – 9;
- Черняхівському районі – 19;
- Чуднівському районі – 11;
- м. Житомирі – 142.

Таблиця обласного лабораторного центру (станом на 24.11.2020)
За інформацією Міністра охорони здоров’я Максима Степанова, за добу 23 листопада в Україні зафіксовано 12 287 нових випадків коронавірусної хвороби COVID-19. Зокрема, захворіли 533 дитини та 570 медпрацівників.

Зображення з Facebook-допису Максима Степанова
Як повідомляв Житомир.info, за добу 22 листопада 2020 року в Житомирській області лабораторно підтвердили рекордну кількість нових випадків коронавірусу – 812, померли 11 людей.




















