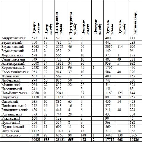
Станом на 09:00 год. 27 листопада в Житомирській області лабораторно підтверджено 28481 випадків коронавірусної хвороби. Зокрема, за минулу добу, 26 листопада, зареєстрували 555 нових інфікувань. За період пандемії від ускладнень COVID-19 померли 478 людей, у тому числі за минулу зафіксували 2 летальні випадки. Подолали хворобу загалом 17 717 пацієнтів.
Про це повідомляє пресслужба Житомирської облдержадміністрації з посиланням на інформацію в.о. директора ДУ «Житомирський обласний лабораторний центр» Юрія Лутая.
Всього випадків (з наростаючим підсумком) – 28481
Померло (всього) – 478
Всього одужало – 17 717
Активні хворі – 10286
Комунальне некомерційне підприємство “Обласний центр громадського здоров’я” Житомирської обласної ради надає інформацію станом на 26 листопада щодо заповненості ліжок у закладах охорони здоров’я області, визначених для госпіталізації пацієнтів з підтвердженим діагнозом COVID-19:
у лікарнях, які внесені до переліку закладів охорони здоров`я, що визначені для госпіталізації пацієнтів з гострою респіраторною хворобою COVID-19, спричиненою коронавірусом SARS-CoV-2, – всього 2525 ліжок, забезпечено ліжок киснем — 1432, визначених для госпіталізації пацієнтів з підтвердженим випадком COVID-19, з яких 769 зайнято хворими на COVID-19 та 337 – пацієнтами з підозрою на COVID-19 (43,8% від загальної кількості ліжок);
кількість ліжок у лікарнях резерву – всього 161 ліжко, визначене для госпіталізації пацієнтів з підтвердженим випадком COVID-19, забезпечено ліжок киснем — 111, з яких 0 зайнято хворими на COVID-19 та 0 – пацієнтами з підозрою на COVID-19 (0% від загальної кількості ліжок).

Зображення з сайту Житомирської ОДА
В ОДА з посиланням на відомості обласного лабораторного центру надали інформацію про 2 нових летальних випадків.
Так, від ускладнень, викликаних коронавірусною хворобою, померли:
- 82-річний житель міста Житомир;
- 50-річна жителька Коростенського району.
Загалом на Житомирщині зареєстровано 478 летальних випадків від COVID-19 у:
- Андрушівському районі – 9;
- Баранівському районі – 7;
- Бердичівському районі – 50;
- Брусилівському районі – 1
- Ємільчинському районі – 10;
- Житомирському районі – 30;
- Коростенському районі – 45;
- Коростишівському районі – 10;
- Лугинському районі — 4;
- Любарському районі – 7;
- Малинському районі – 22;
- Народицькому районі – 5;
- Новоград-Волинському районі – 35;
- Овруцькому районі – 13;
- Олевському районі – 7;
- Попільнянському районі – 7;
- Радомишльському районі – 6;
- Романівському районі – 7;
- Ружинському районі – 3;
- Пулинському районі – 9;
- Хорошівському районі – 10;
- Черняхівському районі – 19;
- Чуднівському районі – 13;
- м. Житомирі – 148.

Таблиця обласного лабораторного центру (за попередню добу, станом на 18:00 год. 26.11.2020)
За даними Міністра
охорони здоров’я Максима Степанова, за добу 26
листопада в Україні зафіксовано
16 218 нових випадків коронавірусної хвороби COVID-19. Зокрема, захворіли 666
дітей та 655 медпрацівників.

Зображення з Facebook-допису Максима Степанова
Як повідомляв Житомир.info, за добу 25 листопада 2020 року в Житомирській області лабораторно підтвердили 557 випадків коронавірусної хвороби та зареєстрували 9 летальних випадків.




















