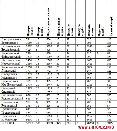
Станом на 09:00 год. 21 грудня в Житомирській області лабораторно підтверджено 36774 випадків коронавірусної хвороби. За минулу добу, 20 грудня, зареєстрували 373 нових випадків. За період пандемії померло 611 пацієнтів, у тому числі 5 – минулої доби. Одужало загалом 28298 осіб.
Про це повідомляє пресслужба Житомирської облдержадміністрації з посиланням на інформацію в.о. директора ДУ «Житомирський обласний лабораторний центр» Юрія Лутая.
Всього випадків (з наростаючим підсумком) – 36774
Померло (всього) – 611 (за минулу добу – 5)
Всього одужало – 28298
Активні хворі – 7865
Всього проведено ПЛР-тестувань за добу – 836
Комунальне некомерційне підприємство «Обласний центр громадського здоров’я» Житомирської обласної ради надає інформацію станом на 20 грудня щодо заповненості ліжок у закладах охорони здоров’я області, визначених для госпіталізації пацієнтів з підтвердженим діагнозом COVID-19:
у лікарнях, які внесені до переліку закладів охорони здоров`я, що визначені для госпіталізації пацієнтів з гострою респіраторною хворобою COVID-19, спричиненою коронавірусом SARS-CoV-2, – всього 2525 ліжок, забезпечено ліжок киснем — 1598, визначених для госпіталізації пацієнтів з підтвердженим випадком COVID-19, з яких зайнято 638 хворими на COVID-19 та 261 – пацієнтами з підозрою на COVID-19 (31,53% від загальної кількості ліжок);
кількість ліжок у лікарнях резерву – всього 161 ліжко, визначене для госпіталізації пацієнтів з підтвердженим випадком COVID-19, забезпечено ліжок киснем — 96, з яких 0 зайнято хворим на COVID-19 та 0 – пацієнтами з підозрою на COVID-19.
Пресслужба ОДА з посиланням на дані обласного лабораторного центру надала інформацію щодо 5 нових летальних випадків, спричинених ускладненнями COVID-19.
Так, від ускладнень, викликаних коронавірусною хворобою, померли:
- троє жителів Бердичівського району – чоловіки віком 74, 82 та 90 років;
- 62-річна жителька Радомишльського району;
- 78-річний житель Чуднівського району.
Загалом на Житомирщині зареєстровано 611 летальних випадків від COVID-19 у:
- Андрушівському районі – 12;
- Баранівському районі – 14;
- Бердичівському районі – 62;
- Брусилівському районі – 1;
- Ємільчинському районі – 14;
- Житомирському районі – 37;
- Коростенському районі – 55;
- Коростишівському районі – 14;
- Лугинському районі — 7;
- Любарському районі – 8;
- Малинському районі – 28;
- Народицькому районі – 5;
- Новоград-Волинському районі – 49;
- Овруцькому районі – 15;
- Олевському районі – 11;
- Попільнянському районі – 12;
- Радомишльському районі – 11;
- Романівському районі – 13;
- Ружинському районі – 3;
- Пулинському районі – 9;
- Хорошівському районі – 13;
- Черняхівському районі – 20;
- Чуднівському районі – 17;
- м. Житомирі – 181.
За даними Міністра охорони здоров’я Максима Степанова, станом на 21 грудня 2020 року в Україні зафіксовано 6 545 нових випадків коронавірусної хвороби COVID-19. Зокрема, захворіли 292 дитини та 236 медпрацівників.

Інфографіка з Facebook-допису Максима Степанова
Також за минулу добу
- госпіталізовано – 1 766 осіб;
- летальних випадків – 80;
- одужало – 5 106 осіб;
- здійснено тестувань за добу – 26 839 (зокрема методом ПЛР – 22 149, методом ІФА – 4 690).
За весь час пандемії в Україні
- захворіло – 970 993 особи;
- одужало – 586 268 осіб;
- летальних випадків – 16 665;
- проведено ПЛР-тестувань – 5 303 103.
Як повідомляв Житомир.info, за добу 19 грудня 2020 року в Житомирській області лабораторно підтвердили 340 випадків COVID-19, померли двоє осіб.




















