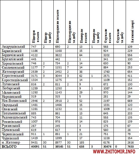
Станом на 09:00 год. 28 грудня в Житомирської області лабораторно підтвердили 38545 випадків коронавірусної хвороби. За минулу добу, 27 грудня, зареєстрували 51 новий випадок. За період пандемії від ускладнень COVID-19 померли 638 пацієнтів, у тому числі минулої доби зафіксували 3 летальні випадки. Одужало загалом 30474 осіб.
Про це повідомляє пресслужба Житомирської облдержадміністрації з посиланням на інформацію в.о. директора ДУ «Житомирський обласний лабораторний центр» Юрія Лутая.
Зареєстровано нових лабораторно підтверджених випадків за добу – 51
Всього випадків (з наростаючим підсумком) – 38545
Померло (всього) – 638
Всього одужало – 30474
Активні хворі – 7433
Всього проведено ПЛР-тестувань за добу – 186
Комунальне некомерційне підприємство «Обласний центр громадського здоров’я» Житомирської обласної ради надає інформацію станом на 27 грудня щодо заповненості ліжок у закладах охорони здоров’я області, визначених для госпіталізації пацієнтів з підтвердженим діагнозом COVID-19:
у лікарнях, які внесені до переліку закладів охорони здоров`я, що визначені для госпіталізації пацієнтів з гострою респіраторною хворобою COVID-19, спричиненою коронавірусом SARS-CoV-2, – всього 2525 ліжок, забезпечено ліжок киснем — 1835, визначених для госпіталізації пацієнтів з підтвердженим випадком COVID-19, з яких зайнято 653 хворими на COVID-19 та 196 – пацієнтами з підозрою на COVID-19 (31,61% від загальної кількості ліжок);
кількість ліжок у лікарнях резерву – всього 161 ліжко, визначене для госпіталізації пацієнтів з підтвердженим випадком COVID-19, забезпечено ліжок киснем — 110, з яких 0 зайнято хворим на COVID-19 та 0 – пацієнтами з підозрою на COVID-19.

Інфографіка з сайту ОДА
Так, від ускладнень, викликаних коронавірусною хворобою, померли:
49-річний житель Андрушівського району;
76-річна жителька Любарського району;
89-річна жителька Коростенського району.
Загалом на Житомирщині зареєстровано 638 летальних випадків від COVID-19 у:
Андрушівському районі – 13;
Баранівському районі – 15;
Бердичівському районі – 64;
Брусилівському районі – 1;
Ємільчинському районі – 14;
Житомирському районі – 38;
Коростенському районі – 62;
Коростишівському районі – 14;
Лугинському районі — 9;
Любарському районі – 9;
Малинському районі – 29;
Народицькому районі – 5;
Новоград-Волинському районі – 52;
Овруцькому районі – 15;
Олевському районі – 11;
Попільнянському районі – 13;
Радомишльському районі – 11;
Романівському районі – 14;
Ружинському районі – 3;
Пулинському районі – 9;
Хорошівському районі – 14;
Черняхівському районі – 21;
Чуднівському районі – 17;
м. Житомирі – 185.
За даними Міністра охорони здоров’я Максима Степанова, станом на 28 грудня 2020 року (за добу 27 грудня) в Україні зафіксовано 4 385 нових випадків коронавірусної хвороби COVID-19. Зокрема, захворіли 196 дітей та 141 медпрацівник.

Інфографіка з Facebook-допису Максима Степанова
Також за минулу добу
- госпіталізовано – 1 588 осіб;
- летальних випадків – 75;
- одужало – 7 191 особа;
- здійснено тестувань за добу – 15 332 (зокрема методом ПЛР – 12 225, методом ІФА – 3 107).
За весь час пандемії в Україні
- захворіло – 1 030 374 особи;
- одужало – 665 729 осіб;
- летальних випадків – 17 849;
- проведено ПЛР-тестувань – 5 485 214.
Як повідомляв Житомир.info, за добу 26 грудня 2020 року в Житомирській області лабораторно підтвердили 275 випадків коронавірусної хвороби та зареєстрували три летальні випадки.




















