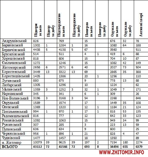
Станом на 09:00 год. 12 січня 2021 в Житомирській області лабораторно підтвердили 41566 випадків коронавірусної хвороби. За минулу добу, 11 січня, зареєстрували 72 випадки COVID-19. За період пандемії померли 693 пацієнти, у тому числі 8 – минулої доби. Одужало загалом 34494 особи.
Про це повідомляє пресслужба Житомирської облдержадміністрації з посиланням на інформацію в.о. директора ДУ «Житомирський обласний лабораторний центр» Юрія Лутая.
Всього випадків (з наростаючим підсумком) – 41566
Померло (всього) – 693
Всього одужало – 34494
Активні хворі – 6379
Всього проведено ПЛР-тестувань за добу – 315
Всього проведено ІФА-тестувань за добу – 1730
Комунальне некомерційне підприємство «Обласний центр громадського здоров’я» Житомирської обласної ради надає інформацію станом на 11 січня щодо заповненості ліжок у закладах охорони здоров’я області, визначених для госпіталізації пацієнтів з підтвердженим діагнозом COVID-19:
у лікарнях, які внесені до переліку закладів охорони здоров`я, що визначені для госпіталізації пацієнтів з гострою респіраторною хворобою COVID-19, спричиненою коронавірусом SARS-CoV-2, – всього 2525 ліжок, забезпечено ліжок киснем — 2063, визначених для госпіталізації пацієнтів з підтвердженим випадком COVID-19, з яких зайнято 587 хворими на COVID-19 та 167 – пацієнтами з підозрою на COVID-19 (28,07% від загальної кількості ліжок);
кількість ліжок у лікарнях резерву – всього 161 ліжко, визначене для госпіталізації пацієнтів з підтвердженим випадком COVID-19, забезпечено ліжок киснем — 112, з яких 0 зайнято хворим на COVID-19 та 0 – пацієнтами з підозрою на COVID-19.

Інфографіка з сайту ОДА
В ОДА з посиланням на дані обласного лабораторного центру надали інформацію про 8 нових летальних випадків, спричинених ускладненнями корона вірусної хвороби.
Так, від ускладнень, викликаних COVID-19, померли:
68-річна жителька міста Малин;
67-річна жителька Попільнянського району;
50-річна жителька Народицького району;
72-річний житель Олевського району;
76-річний житель Коростишівського району;
80-річна жителька Брусилівського району;
62-річний чоловік та 44-річна жінка — жителі міста Житомир.
Загалом на Житомирщині зареєстровано 693 летальних випадки від COVID-19 у:
- Андрушівському районі – 15;
- Баранівському районі – 16;
- Бердичівському районі – 67;
- Брусилівському районі – 4;
- Ємільчинському районі – 15;
- Житомирському районі – 39;
- Коростенському районі – 69;
- Коростишівському районі – 20;
- Лугинському районі — 9;
- Любарському районі – 10;
- Малинському районі – 32;
- Народицькому районі – 6;
- Новоград-Волинському районі – 54;
- Овруцькому районі – 18;
- Олевському районі – 12;
- Попільнянському районі – 17;
- Радомишльському районі – 12;
- Романівському районі – 15;
- Ружинському районі – 3;
- Пулинському районі – 9;
- Хорошівському районі – 15;
- Черняхівському районі – 21;
- Чуднівському районі – 17;
- м. Житомирі – 197.
Як повідомляв Житомир.info, за добу 10 січня 2021 року в Житомирській області лабораторно підтвердили 120 випадків COVID-19, летальних випадків не зафіксували.




















