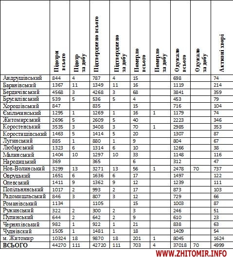
Станом на 09:00 год. 18 січня 2021 в Житомирській області лабораторно підтвердили 42720 випадків коронавірусної хвороби. За минулу добу, 17 січня, зареєстровано 111 інфікувань. За період пандемії зафіксували 703 летальні випадки, у тому числі минулої доби померли чотири людини. Одужало загалом 37018 осіб.
Про це повідомляє пресслужба Житомирської облдержадміністрації з посиланням на інформацію в.о. директора ДУ «Житомирський обласний лабораторний центр» Юрія Лутая.
Всього випадків (з наростаючим підсумком) – 42720
Померло (всього) – 703
Всього одужало – 37018
Активні хворі – 4999
Всього проведено ПЛР-тестувань за добу – 376
Комунальне некомерційне підприємство «Обласний центр громадського здоров’я» Житомирської обласної ради надає інформацію станом на 17 січня щодо заповненості ліжок у закладах охорони здоров’я області, визначених для госпіталізації пацієнтів з підтвердженим діагнозом COVID-19:
у лікарнях, які внесені до переліку закладів охорони здоров`я, що визначені для госпіталізації пацієнтів з гострою респіраторною хворобою COVID-19, спричиненою коронавірусом SARS-CoV-2, – всього 2525 ліжок, забезпечено ліжок киснем — 2085, визначених для госпіталізації пацієнтів з підтвердженим випадком COVID-19, з яких зайнято 516 хворими на COVID-19 та 177 – пацієнтами з підозрою на COVID-19 (25,8% від загальної кількості ліжок);
кількість ліжок у лікарнях резерву – всього 161 ліжко, визначене для госпіталізації пацієнтів з підтвердженим випадком COVID-19, забезпечено ліжок киснем — 112, з яких 0 зайнято хворим на COVID-19 та 0 – пацієнтами з підозрою на COVID-19.

Інфографіка з сайту ОДА
В ОДА з посиланням на дані обласного лабораторного центру надали інформацію про чотири нові летальні випадки, зафіксовані минулої доби.
Так, від ускладнень, викликаних коронавірусною хворобою, померли:
79-річна жителька міста Житомир;
63-річна жителька міста Коростень;
66-річна жителька Ємільчинського району;
83-річний житель Новоград-Волинського району.
Загалом на Житомирщині зареєстровано 703 летальних випадки від COVID-19 у:
- Андрушівському районі – 15;
- Баранівському районі – 16;
- Бердичівському районі – 68;
- Брусилівському районі – 4;
- Ємільчинському районі – 16;
- Житомирському районі – 39;
- Коростенському районі – 70;
- Коростишівському районі – 20;
- Лугинському районі — 9;
- Любарському районі – 10;
- Малинському районі – 33;
- Народицькому районі – 6;
- Новоград-Волинському районі – 56;
- Овруцькому районі – 18;
- Олевському районі – 12;
- Попільнянському районі – 17;
- Радомишльському районі – 12;
- Романівському районі – 15;
- Ружинському районі – 3;
- Пулинському районі – 9;
- Хорошівському районі – 15;
- Черняхівському районі – 21;
- Чуднівському районі – 17;
- м. Житомирі – 201.
За даними Міністра охорони здоров’я Максима Степанова, станом на 18 січня 2021 року (за добу 17 січня) в Україні зафіксовано 3 034 нових випадки коронавірусної хвороби COVID-19. Зокрема, захворіли 107 дітей та 87 медпрацівників.

Інфографіка з Facebook-допису Максима Степанова
Також за минулу добу
госпіталізовано – 1 304 особи;
летальних випадків – 67;
одужало – 5 236 осіб;
здійснено тестувань за добу – 13 247 (зокрема методом ПЛР – 10 401, методом ІФА – 2 846).
За весь час пандемії в Україні
захворіло – 1 163 716 осіб;
одужало – 871 196 осіб;
летальних випадків – 20 869;
проведено ПЛР-тестувань – 5 964 388.
Як повідомляв Житомир.info, за добу 16 січня 2021 року в Житомирській області лабораторно підтвердили 155 випадків коронавірусної хвороби, померла 80-річна житомирянка.




















