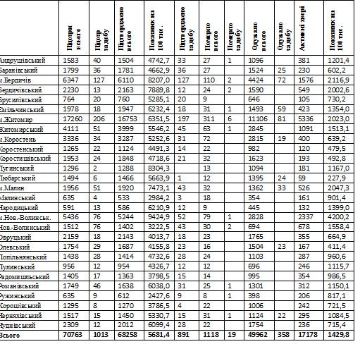
Станом на 09:00 год. 26 березня 2021 року в Житомирській області лабораторно підтвердили 68258 випадків коронавірусної хвороби. За минулу добу, 25 березня, було зареєстровано 891 нове інфікування COVID-19. За період пандемії від ускладнень хвороби померло 1118 пацієнтів. Одужало загалом 49962 особи.
Про це повідомляє пресслужба Житомирської облдержадміністрації з посиланням на інформацію заступника директора ДУ «Житомирський обласний лабораторний центр» Юрія Лутая.
Всього випадків (з наростаючим підсумком) – 68258
Померло (всього) – 1118
Всього одужало – 49962
Активні хворі – 17178
Всього проведено ПЛР-тестувань за добу – 1801
Комунальне некомерційне підприємство «Обласний центр громадського здоров’я» Житомирської обласної ради надає інформацію станом на 25 березня щодо заповненості ліжок у закладах охорони здоров’я області, визначених для госпіталізації пацієнтів із підтвердженим діагнозом COVID-19:
у лікарнях, які внесені до переліку закладів охорони здоров`я, що визначені для госпіталізації пацієнтів з гострою респіраторною хворобою COVID-19, спричиненою коронавірусом SARS-CoV-2: всього ліжок – 2809, забезпечено ліжок киснем — 2441, з яких 1691 зайнято хворими на COVID-19 та 228 – пацієнтами з підозрою на COVID-19 (64,65% від загальної кількості ліжок);
у лікарнях резерву: всього ліжко – 161, забезпечено ліжок киснем — 114, з яких 1 зайнято хворим на COVID-19 та 0 – пацієнтами з підозрою на COVID-19.

Інфографіка ОДА
За інформацією ОДА, за добу в області зареєстрували 19 летальних випадків, спричинених коронавірусом.
Так,від ускладнень, викликаних коронавірусною хворобою, померли:
- троє чоловіків віком 70, 66 та 54 років, а також троє жінок віком 80, 72, 70 років — жителі міста Житомир;
- 69-річна жителька Житомирського району;
- 65-річна та 44-річна жінки, а також 84-річний 70-річний чоловіки — жителі Бердичівського району;
- 46-річний, 67-річний та 82-річний чоловіки — жителі Новоград-Волинського району;
- 78-річний житель Андрушівського району;
- 66-річна жителька Ємільчинського району;
- 68-річна жителька Черняхівського району;
- 54-річний житель Ружинського району;
- 64-річний житель Романівського району.

За даними міністра охорони здоров’я Максима Степанова, станом на 26 березня 2021 року (за добу 25 березня) в Україні зафіксовано 8 132 нових випадки коронавірусної хвороби COVID-19. Зокрема, захворіли 923 дитини та 435 медпрацівників.
Також за минулу добу
госпіталізовано – 4 826 осіб;
летальних випадків – 326;
одужало – 7 138 осіб;
здійснено тестувань за добу – 119 087 (зокрема методом ПЛР – 53 495, методом ІФА – 22 760, досліджень експрес-тестами на антиген до SARS-CoV-2 – 42 832).
За весь час пандемії в Україні
захворіло – 1 614 707 осіб;
одужало – 1 290 158 осіб;
летальних випадків – 31 461;
проведено ПЛР-тестувань – 7 889 544.
За останню добу найбільша кількість підтверджених випадків зареєстрована в Одеській (1 545), Дніпропетровській (1 358), Львівській (1 304), Харківській (1 204) областях та м. Київ (1 164).
Як повідомляв Житомир.info, за добу 24 березня 2021 року в Житомирській області лабораторно підтвердили 1136 випадків коронавірусної хвороби, від ускладнень померли 7 людей.




















