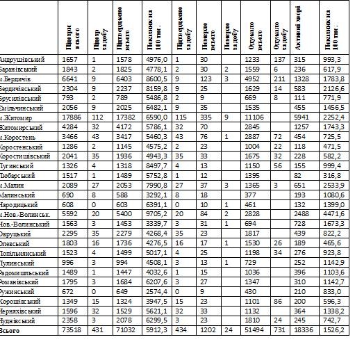
Станом на 9:00 год. 31 березня 2021 року в Житомирській області лабораторно підтвердили 71032 випадки коронавірусної хвороби. За минулу добу, 30 березня, було зареєстровано 434 нових інфікування COVID-19. За період пандемії від ускладнень хвороби померли 1202 пацієнти (24 – за минулу добу). Всього одужали 51494 жителі області, нині активних хворих – 18336 осіб.
Про це повідомляє пресслужба Житомирської ОДА з посиланням на інформацію заступника директора ДУ «Житомирський обласний лабораторний центр» Юрія Лутая.
Всього випадків (з наростаючим підсумком) – 71032
Померло (всього) – 1202
Всього одужало – 51494
Активні хворі – 18336
Всього проведено ПЛР-тестувань за добу – 831
Комунальне некомерційне підприємство «Обласний центр громадського здоров’я» Житомирської обласної ради надає інформацію станом на 30 березня щодо заповненості ліжок у закладах охорони здоров’я області, визначених для госпіталізації пацієнтів із підтвердженим діагнозом COVID-19:
у лікарнях, які внесені до переліку закладів охорони здоров`я, що визначені для госпіталізації пацієнтів з гострою респіраторною хворобою COVID-19, спричиненою коронавірусом SARS-CoV-2: всього ліжок – 2879, забезпечено ліжок киснем — 2546, з яких 1750 зайнято хворими на COVID-19 та 248 – пацієнтами з підозрою на COVID-19 (67,34% від загальної кількості ліжок);
у лікарнях резерву: всього ліжко – 91, забезпечено ліжок киснем — 46, з яких 2 зайнято хворими на COVID-19 та 0 – пацієнтами з підозрою на COVID-19.

Інфографіка з сайту ОДА
Як інформує пресслужба ОДА з посиланням на дані обласного лабораторного центру, за минулу добу на Житомирщині зареєстровано 24 летальні випадки від коронавірусної інфекції.
Так, від ускладнень, викликаних коронавірусною хворобою, померли:
- дев’ять жителів міста Житомир — п’ять чоловіків віком 81, 80, 71, 60, 48 років та четверо жінок віком 76, 74, 69, 68 років;
- 60-річний житель Пулинського району;
- троє жителів міста Бердичів віком 76 та 71 та 64 років;
- 67-річна жителька Коростенського району;
- 66-річний житель Новоград–Волинського району;
- 65-річна жінка та 56-річний чоловік — жителі Баранівського району;
- троє жительок Малинського району віком 79, 72 та 61 рік;
- двоє жительок міста Новоград–Волинський віком 85 та 68 років;
- 70-річна жителька Овруцького району;
- 65-річний житель Народицького району.

Таблиця лабораторного центру
За даними міністра охорони здоров’я Максима Степанова, станом на 31 березня 2021 року (за добу 30 березня) в Україні зафіксовано 11 226 нових випадків коронавірусної хвороби COVID-19. Зокрема, захворіли 491 дитина та 335 медпрацівників.
Також за минулу добу
госпіталізовано – 5 558 осіб;
летальних випадків – 407;
одужало – 6 405 осіб;
здійснено тестувань за добу – 139 224 (зокрема методом ПЛР – 61 839, методом ІФА – 21 984, досліджень експрес-тестами на антиген до SARS-CoV-2 – 55 401).
За весь час пандемії в Україні
захворіло – 1 674 168 осіб;
одужало – 1 313 481 особа;
летальних випадків – 32 825;
проведено ПЛР-тестувань – 8 120 102.
За останню добу найбільша кількість підтверджених випадків зареєстрована у м. Київ (1 100), Одеській (1 012), Харківській (906), Львівській (833) та Запорізькій (737) областях.
Як повідомляв Житомир.info, за добу 29 березня 2021 року в Житомирській області лабораторно підтвердили 169 нових інфікувань COVID-19, померли 12 пацієнтів.




















