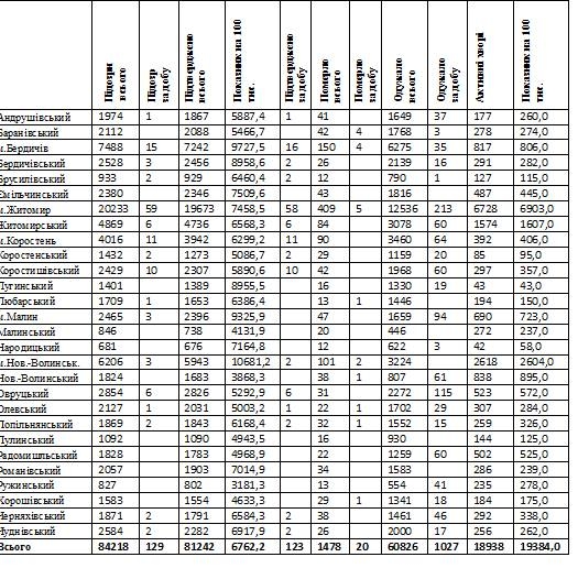
Станом на 9:00 год. 20 квітня 2021 року в Житомирській області лабораторно підтвердили 81242 випадків коронавірусної хвороби. За минулу добу, 19 квітня, було зареєстровано 123 нових інфікування COVID-19. За період пандемії від ускладнень хвороби померли 1478 пацієнтів (20 – за минулу добу). Всього одужали 60826 жителів області, нині активних хворих – 18938 осіб.
Про це повідомляє пресслужба Житомирської облдержадміністрації з посиланням на інформацію директора ДУ «Житомирський обласний лабораторний центр МОЗ України» Зиновія Парамонова.
Всього випадків (з наростаючим підсумком) – 81242
Померло (всього) – 1478
Всього одужало – 60826
Активні хворі – 18938
Всього проведено ПЛР-тестувань за добу – 633
Комунальне некомерційне підприємство «Обласний центр громадського здоров’я» Житомирської обласної ради надає інформацію станом на 19 квітня щодо заповненості ліжок у закладах охорони здоров’я області, визначених для госпіталізації пацієнтів із підтвердженим діагнозом COVID-19:
у лікарнях, які внесені до переліку закладів охорони здоров`я, що визначені для госпіталізації пацієнтів з гострою респіраторною хворобою COVID-19, спричиненою коронавірусом SARS-CoV-2: всього ліжок – 2939, забезпечено ліжок киснем — 2614, з яких 1525 зайнято хворими на COVID-19 та 194 – пацієнтами з підозрою на COVID-19 (58,49% від загальної кількості ліжок);
у лікарнях резерву: всього ліжко – 91, забезпечено ліжок киснем — 46, з яких 0 зайнято хворими на COVID-19 та 0 – пацієнтами з підозрою на COVID-19.

Інфографіка з сайту ОДА
Як інформує пресслужба ОДА з посиланням на дані обласного лабораторного центру, за минулу добу на Житомирщині зареєстровано 20 летальних випадків від коронавірусної інфекції.
Так, від ускладнень, викликаних коронавірусною хворобою, померли:
| Район/місто | Стать | Вік |
| Коростишівський | Жіноча | 76 |
| Баранівський | Жіноча | 60 |
| Баранівський | Жіноча | 50 |
| Баранівський | Чоловіча | 59 |
| Новоград-Волинський | Чоловіча | 71 |
| Житомир | Чоловіча | 63 |
| Житомир | Чоловіча | 75 |
| Житомир | Чоловіча | 71 |
| Житомир | Жіноча | 37 |
| Житомир | Жіноча | 74 |
| Бердичів | Жіноча | 71 |
| Попільнянський | Чоловіча | 58 |
| Бердичів | Жіноча | 75 |
| Бердичів | Чоловіча | 74 |
| Бердичів | Жіноча | 63 |
| м.Новоград-Волинський | Чоловіча | 69 |
| Новоград-Волинський | Жіноча | 59 |
| Хорошівський | Жіноча | 63 |
| Любарський | Чоловіча | 83 |
| Олевський | Жіноча | 72 |

За даними міністра охорони здоров’я Максима Степанова, станом на 20 квітня 2021 року (за добу 19 квітня) в Україні зафіксовано 8 940 нових випадків коронавірусної хвороби COVID-19.
За останню добу найбільша кількість підтверджених випадків зареєстрована у м. Київ (892), Харківській (804), Полтавській (725), Одеській (691) та Київській (647) областях.
Як повідомляв Житомир.info, за добу 18 квітня 2021 року в Житомирській області лабораторно підтвердили 267 випадків коронавірусної хвороби, від ускладнень померли 5 людей.




















