Станом на 09:00 06.05.2021 (за минулу добу – 05 травня) зареєстровано 107 нових лабораторно підтверджених випадків. Від ускладнень померли 7 пацієнтів.
Про це повідомляє пресслужба Житомирської облдержадміністрації з посиланням на інформацію директора ДУ «Житомирський обласний лабораторний центр МОЗ України» Зиновія Парамонова.
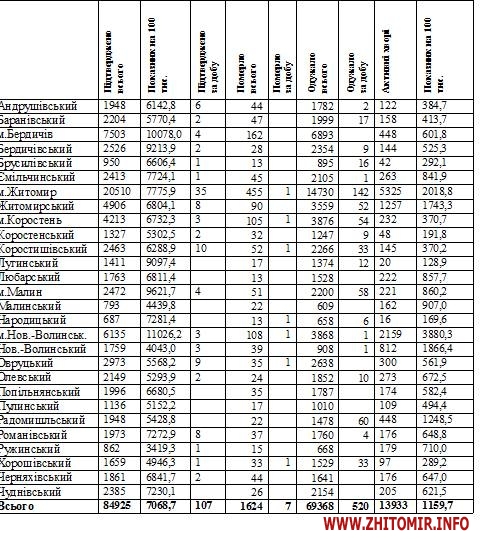
Всього випадків (з наростаючим підсумком) –84925
Померло (всього) –1624
Всього одужало –69368
Активні хворі –13933
Всього проведено ПЛР-тестувань за добу –447
Всього проведено ПЛР-тестувань (з наростаючим підсумком) –231625
Всього проведено ІФА-тестувань за добу – 510
Всього проведено ІФА-тестувань ( з наростаючим підсумком) –275255
Комунальне некомерційне підприємство “Обласний центр громадського здоров’я” Житомирської обласної ради надає інформацію станом на 05 травня щодо заповненості ліжок у закладах охорони здоров’я області, визначених для госпіталізації пацієнтів із підтвердженим діагнозом COVID-19:
- у лікарнях, які внесені до переліку закладів охорони здоров`я, що визначені для госпіталізації пацієнтів з гострою респіраторною хворобою COVID-19, спричиненою коронавірусом SARS-CoV-2: всього ліжок – 2939, забезпечено ліжок киснем — 2622, з яких 957 зайнято хворими на COVID-19 та 143 – пацієнтами з підозрою на COVID-19 (37,43% від загальної кількості ліжок);
- у лікарнях резерву: всього ліжко – 91, забезпечено ліжок киснем — 46, з яких 0 зайнято хворими на COVID-19 та 0 – пацієнтами з підозрою на COVID-19.

Інфографіка з сайту ОДА
За минулу добу на Житомирщині зареєстровано 7 летальних випадків від коронавірусної інфекції. Про це повідомляє Житомирський обласний лабораторний центр.
Так, від ускладнень, викликаних коронавірусною хворобою, померли:
| Район/місто | Стать | Вік |
| Коростишівський | Жіноча | 67 |
| м.Новоград-Волинський | Жіноча | 59 |
| Житомир | Жіноча | 70 |
| Хорошівський | Жіноча | 69 |
| Коростень | Жіноча | 74 |
| Овруцький | Чоловіча | 88 |
| Народицький | Чоловіча | 62 |
За даними пресслужби МОЗ за минулу добу зафіксовано 6 038 нових випадків коронавірусної хвороби COVID-19. Зокрема, захворіли 271 дитина та 113 медпрацівників.

Як повідомляв, Житомир.info, cтаном на 9:00 год. 5 травня 2021 року в Житомирській області лабораторно підтвердили 84818 випадків коронавірусної хвороби. За минулу добу, 4 травня, було зареєстровано 16 нових інфікувань COVID-19.




















