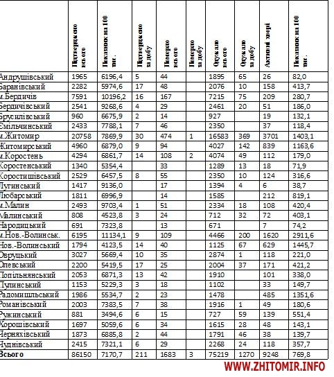
Станом на 9:00 год. 14 травня 2021 року в Житомирській області лабораторно підтвердили 86150 випадків коронавірусної хвороби. За минулу добу, 13 травня, було зареєстровано 211 нових інфікувань COVID-19. За період пандемії від ускладнень хвороби померли 1683 пацієнти (3 – за минулу добу). Всього одужали 75219 жителів області, нині активних хворих – 9248 осіб.
Про це повідомляє пресслужба Житомирської облдержадміністрації з посиланням на інформацію директора ДУ «Житомирський обласний лабораторний центр МОЗ України» Зиновія Парамонова.
Всього випадків (з наростаючим підсумком) – 86150
Померло (всього) – 1683
Всього одужало – 75219
Активні хворі – 9248
Всього проведено ПЛР-тестувань за добу – 903
Комунальне некомерційне підприємство «Обласний центр громадського здоров’я»Житомирської обласної ради надає інформацію станом на 13 травня щодо заповненості ліжок у закладах охорони здоров’я області, визначених для госпіталізації пацієнтів із підтвердженим діагнозом COVID-19:
у лікарнях, які внесені до переліку закладів охорони здоров`я, що визначені для госпіталізації пацієнтів з гострою респіраторною хворобою COVID-19, спричиненою коронавірусом SARS-CoV-2: всього ліжок –2939, забезпечено ліжок киснем — 2622, з яких 625 зайнято хворими на COVID-19 та 117– пацієнтами з підозрою на COVID-19 (25,25% від загальної кількості ліжок);
у лікарнях резерву: всього ліжко – 91, забезпечено ліжок киснем — 46, з яких 0 зайнято хворими на COVID-19 та 0 – пацієнтами з підозрою на COVID-19.

Інфографіка з сайту ОДА
Як інформує пресслужба ОДА з посиланням на дані обласного лабораторного центру, за минулу добу на Житомирщині зареєстровано 3 летальні випадки, спричинених ускладненнями COVID-19.
Так, від ускладнень, викликаних коронавірусною хворобою, померли:
| Район/місто | Стать | Вік |
| Житомир | Чоловіча | 57 |
| Коростень | Жіноча | 65 |
| Коростень | Чоловіча | 83 |
Загалом на Житомирщині зареєстровано 1683 летальних випадки від COVID-19:
| Район/місто | Кількість випадків |
| Андрушівський | 44 |
| Баранівський | 48 |
| м.Бердичів | 167 |
| Бердичівський | 29 |
| Брусилівський | 14 |
| Ємільчинський | 46 |
| м.Житомир | 474 |
| Житомирський | 94 |
| м.Коростень | 108 |
| Коростенський | 33 |
| Коростишівський | 55 |
| Лугинський | 17 |
| Любарський | 14 |
| м.Малин | 51 |
| Малинський | 24 |
| Народицький | 13 |
| м.Новоград-Волинський | 109 |
| Новоград-Волинський | 40 |
| Овруцький | 35 |
| Олевський | 25 |
| Попільнянський | 42 |
| Пулинський | 18 |
| Радомишльський | 23 |
| Романівський | 38 |
| Ружинський | 15 |
| Хорошівський | 34 |
| Черняхівський | 44 |
| Чуднівський | 29 |
За даними міністра охорони здоров’я Максима Степанова, станом на 14 травня 2021 року (за добу 13 травня) в Україні зафіксовано 7 562 нові випадки коронавірусної хвороби COVID-19. Зокрема, захворіли 336 дітей та 216 медпрацівників. За останню добу найбільша кількість підтверджених випадків зареєстрована у м.Київ (681), Харківській (665), Дніпропетровській (487), Черкаській (449) та Донецькій (445) областях.
Як повідомляв Житомир.info, за добу 12 травня 2021 року в Житомирській області лабораторно підтвердили 118 випадків коронавірусної хвороби, від ускладнень COVID-19 померли 7 осіб.




















