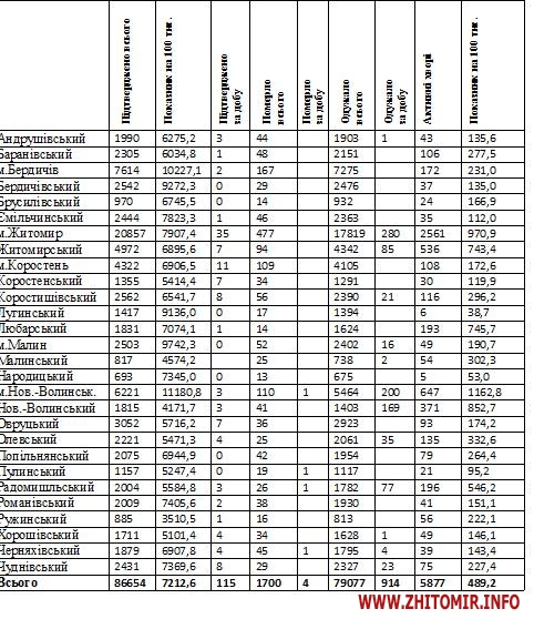
Станом на 9:00 год. 19 травня 2021 року в Житомирській області лабораторно підтвердили 86654 випадки коронавірусної хвороби. За минулу добу, 18 травня, було зареєстровано 115 нових інфікувань COVID-19. За період пандемії від ускладнень хвороби померли 1700 пацієнтів (4 – за минулу добу). Всього одужали 79077 жителів області, нині активних хворих – 5877 осіб.
Про це повідомляє пресслужба Житомирської облдержадміністрації з посиланням на інформацію директора ДУ «Житомирський обласний лабораторний центр МОЗ України» Зиновія Парамонова.
Всього випадків (з наростаючим підсумком) – 86654
Померло (всього) – 1700
Всього одужало – 79077
Активні хворі – 5877
Всього проведено ПЛР-тестувань за добу – 534
Комунальне некомерційне підприємство «Обласний центр громадського здоров’я» Житомирської обласної ради надає інформацію станом на 18 травня щодо заповненості ліжок у закладах охорони здоров’я області, визначених для госпіталізації пацієнтів із підтвердженим діагнозом COVID-19:
у лікарнях, які внесені до переліку закладів охорони здоров`я, що визначені для госпіталізації пацієнтів з гострою респіраторною хворобою COVID-19, спричиненою коронавірусом SARS-CoV-2: всього ліжок –2939, забезпечено ліжок киснем — 2622, з яких 559 зайнято хворими на COVID-19 та 126– пацієнтами з підозрою на COVID-19 (23,31% від загальної кількості ліжок);
у лікарнях резерву: всього ліжко – 91, забезпечено ліжок киснем — 46, з яких 0 зайнято хворими на COVID-19 та 0 – пацієнтами з підозрою на COVID-19.

Інфографіка з сайту ОДА
Як інформує пресслужба ОДА з посиланням на дані обласного лабораторного центру, за минулу добу на Житомирщині зареєстровано 4 летальні випадки від коронавірусної інфекції.
Так, від ускладнень, викликаних коронавірусною хворобою, померли:
| Район/місто | Стать | Вік |
| Радомишльський | Жіноча | 65 |
| Черняхівський | Жіноча | 65 |
| Пулинський | Чоловіча | 72 |
| м.Новоград-Волинський | Жіноча | 69 |
За даними Міністерства охорони здоров’я, станом на 19 травня (за добу 18 травня) в Україні зафіксовано 5138 нових підтверджених випадків коронавірусної хвороби COVID-19 (з них дітей – 260, медпрацівників – 187). За останню добу найбільша кількість підтверджених випадків зареєстрована у Харківській (567), м. Київ (477), Дніпропетровській (457), Донецькій (336) та Київській (336) областях.
Як повідомляв Житомир.info, за добу 17 травня в Житомирській області лабораторно підтвердили 30 випадків коронавірусної хвороби, померли два пацієнти.




















