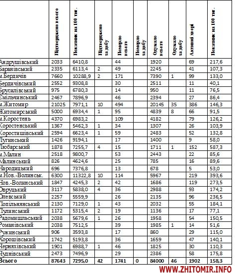
Станом на 9:00 год. 31 травня 2021 року в Житомирській області лабораторно підтвердили 87643 випадки коронавірусної хвороби. За минулу добу, 30 травня, було зареєстровано 42 нових інфікування COVID-19. За період пандемії від ускладнень хвороби помер 1741 пацієнт (0 – за минулу добу). Всього одужали 84000 жителів області, нині активних хворих – 1902 особи.
Про це повідомляє пресслужба Житомирської облдержадміністрації з посиланням на інформацію директора ДУ «Житомирський обласний лабораторний центр МОЗ України» Зиновія Парамонова.
Всього випадків (з наростаючим підсумком) – 87643
Померло (всього) – 1741
Всього одужало – 84000
Активні хворі – 1902
Всього проведено ПЛР-тестувань за добу – 318
Комунальне некомерційне підприємство «Обласний центр громадського здоров’я» Житомирської обласної ради надає інформацію станом на 30 травня щодо заповненості ліжок у закладах охорони здоров’я області, визначених для госпіталізації пацієнтів із підтвердженим діагнозом COVID-19:
у лікарнях, які внесені до переліку закладів охорони здоров`я, що визначені для госпіталізації пацієнтів з гострою респіраторною хворобою COVID-19, спричиненою коронавірусом SARS-CoV-2: всього ліжок –2939, забезпечено ліжок киснем — 2627, з яких 331 зайнято хворими на COVID-19 та 80 – пацієнтами з підозрою на COVID-19 (13,98% від загальної кількості ліжок);
у лікарнях резерву: всього ліжко – 91, забезпечено ліжок киснем — 46, з яких 0 зайнято хворими на COVID-19 та 0 – пацієнтами з підозрою на COVID-19.

Інфографіка з сайту ОДА
За даними Міністерства охорони здоров’я, станом на 31 травня 2021 року (за добу 30 травня) в Україні зафіксовано 1 022 нових випадків захворювань на COVID-19. Серед них – 58 дітей та 11 медпрацівників. За останню добу найбільша кількість підтверджених випадків зареєстрована у Дніпропетровській (134), Миколаївській (107), Запорізькій (69), Харківській (68), областях та м. Київ (63).
Як повідомляв Житомир.info, за добу 29 травня 2021 року в Житомирській області лабораторно підтвердили 51 випадок коронавірусної хвороби, померли троє хворих.




















