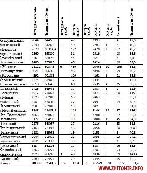
Станом на 9:00 год. 16 червня 2021 року в Житомирській області лабораторно підтвердили 88188 випадків коронавірусної хвороби. За минулу добу, 15 червня, було зареєстровано 12 нових інфікувань COVID-19. За період пандемії від ускладнень хвороби померли 1774 пацієнти (0 – за минулу добу). Всього одужали 85679 жителів області, нині активних хворих – 735 осіб.
Про це повідомляє пресслужба Житомирської облдержадміністрації з посиланням на інформацію директора ДУ «Житомирський обласний лабораторний центр МОЗ України» Зиновія Парамонова.
Всього випадків (з наростаючим підсумком) – 88188
Померло (всього) – 1774
Всього одужало – 85679
Активні хворі – 735
Всього проведено ПЛР-тестувань за добу – 209
Комунальне некомерційне підприємство «Обласний центр громадського здоров’я» Житомирської обласної ради надає інформацію станом на 15 червня щодо заповненості ліжок у закладах охорони здоров’я області, визначених для госпіталізації пацієнтів із підтвердженим діагнозом COVID-19:
у лікарнях, які внесені до переліку закладів охорони здоров`я, що визначені для госпіталізації пацієнтів з гострою респіраторною хворобою COVID-19, спричиненою коронавірусом SARS-CoV-2: всього ліжок – 1036, забезпечено ліжок киснем — 1018, з яких 129 зайнято хворими на COVID-19 та 46 – пацієнтами з підозрою на COVID-19 (16,89% від загальної кількості ліжок);
у лікарнях резерву, в яких доліковуються хворі на COVID-19: 12 ліжок зайнято хворими на COVID-19 та 0 – пацієнтами з підозрою на COVID-19.

Інфографіка з сайту ОДА
За даними Міністерства охорони здоров’я, станом на 16 червня 2021 року (за добу 15 червня) в Україні зафіксовано 1045 нових випадків захворювання на COVID-19. Серед них - 46 дітей та 23 медпрацівники. За останню добу найбільша кількість підтверджених випадків зареєстрована у м. Київ (256), Київській (75), Харківській (64), Дніпропетровській (55) та Херсонській (53) областях.
Як повідомляв Житомир.info, за добу 14 червня 2021 року в Житомирській області лабораторно підтвердили 9 випадків коронавірусної хвороби, померла жителька Коростенського району.




















