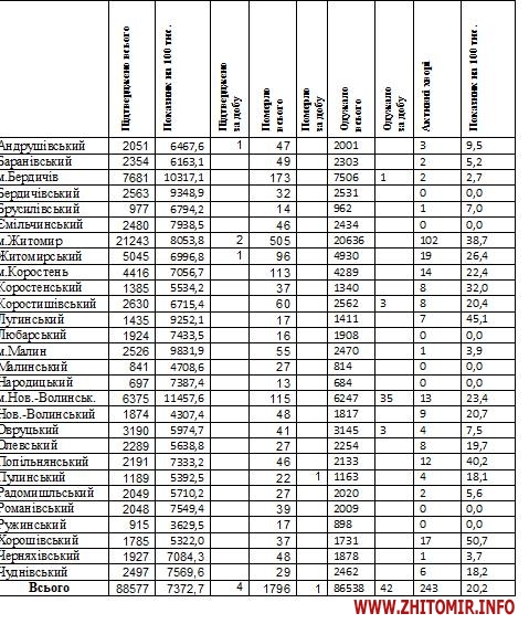
Станом на 9:00 год. 14 липня 2021 року в Житомирській області лабораторно підтвердили 88577 випадків коронавірусної хвороби. За минулу добу, 13 липня, було зареєстровано 4 нових інфікування COVID-19. За період пандемії від ускладнень хвороби померли 1796 пацієнтів (1 – за минулу добу). Всього одужали 86538 жителів області, нині активних хворих – 243 особи.
Про це повідомляє пресслужба Житомирської облдержадміністрації з посиланням на інформацію в. о. директора ДУ «Житомирський обласний лабораторний центр МОЗ України» Юрія Лутая.
Всього випадків (з наростаючим підсумком) – 88577
Померло (всього) – 1796
Всього одужало – 86538
Активні хворі – 243
Всього проведено ПЛР-тестувань за добу – 287
Комунальне некомерційне підприємство «Обласний центр громадського здоров’я» Житомирської обласної ради надає інформацію станом на 13 липня щодо заповненості ліжок у закладах охорони здоров’я області, визначених для госпіталізації пацієнтів із підтвердженим діагнозом COVID-19:
у лікарнях, які внесені до переліку закладів охорони здоров`я, що визначені для госпіталізації пацієнтів з гострою респіраторною хворобою COVID-19, спричиненою коронавірусом SARS-CoV-2: всього ліжок – 1036, забезпечено ліжок киснем — 1018, з яких 51 зайнято хворими на COVID-19 та 44 – пацієнтами з підозрою на COVID-19 (9,17% від загальної кількості ліжок).
В ОДА з посиланням на інформацію обласного лабораторного центру інформують про летальний випадок, зареєстрований минулої доби. Так, від ускладнень, викликаних коронавірусною хворобою, померла 82-річна жителька смт Пулини.
За даними Міністерства охорони здоров’я, за добу 13 липня 2021 року в Україні зафіксовано 547 нових підтверджених випадків коронавірусної хвороби COVID-19 (з них дітей – 34, медпрацівників – 23). За останню добу найбільша кількість підтверджених випадків зареєстрована у м. Київ (165), Київській (39), Одеській (36), Донецькій (31) та Дніпропетровській (31) областях.
Як повідомляв Житомир.info, за добу 12 липня 2021 року в Житомирській області лабораторно підтвердили три випадки коронавірусної хвороби, померла 82-річна жителька Коростеня.




















