Кабінет міністрів змінив норми харчування військовослужбовців Збройних Сил та інших військових формувань.
Відповідна постанова КМУ № 252 від 25 квітня 2015 року опублікована на Урядовому порталі.
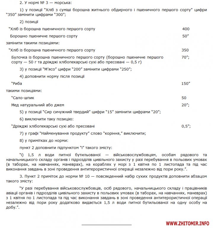
«Кабінет Міністрів України постановляє: внести до норм харчування військовослужбовців Збройних Сил та інших військових формувань, затверджених постановою Кабінету Міністрів України від 29 березня 2002 р. № 426 (Офіційний вісник України, 2002 p., № 14, ст. 739; 2006 p., № 11, ст. 716, № 50, ст. 3324; 2013 р., № 100, ст. 3663; 2014 р., № 51, ст. 1337, № 59, ст. 1598), зміни, що додаються», - йдеться у документі.



Нижче – фото польової кухні на полігоні під Житомиром

























