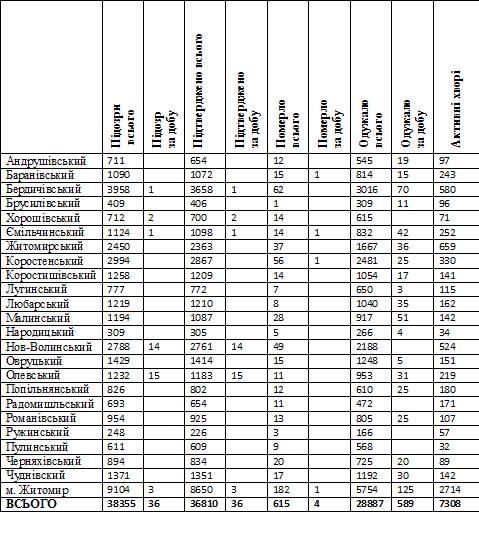
Станом на 09:00 год. 22 грудня в Житомирській області лабораторно підтвердили 36810 випадків коронавірусної хвороби. За минулу добу, 21 грудня, зареєстрували 36 нових випадків. За період пандемії від ускладнень COVID-19 померли 615 жителів області, у тому числі минулої доби було зафіксовано 4 летальні випадки. Одужало загалом 28887 осіб.
Про це повідомляє пресслужба Житомирської облдержадміністрації з посиланням на інформацію в.о. директора ДУ «Житомирський обласний лабораторний центр» Юрія Лутая.
Всього випадків (з наростаючим підсумком) – 36810
Померло (всього) – 615 (минулої доби – 4)
Всього одужало – 28887
Активні хворі – 7308
Всього проведено ПЛР-тестувань за добу – 282
Всього проведено ІФА-тестувань за добу –1105
Комунальне некомерційне підприємство «Обласний центр громадського здоров’я» Житомирської обласної ради надає інформацію станом на 21 грудня щодо заповненості ліжок у закладах охорони здоров’я області, визначених для госпіталізації пацієнтів з підтвердженим діагнозом COVID-19:
у лікарнях, які внесені до переліку закладів охорони здоров`я, що визначені для госпіталізації пацієнтів з гострою респіраторною хворобою COVID-19, спричиненою коронавірусом SARS-CoV-2, – всього 2525 ліжок, забезпечено ліжок киснем — 1661, визначених для госпіталізації пацієнтів з підтвердженим випадком COVID-19, з яких зайнято 668 хворими на COVID-19 та 205 – пацієнтами з підозрою на COVID-19 (32,5% від загальної кількості ліжок);
кількість ліжок у лікарнях резерву – всього 161 ліжко, визначене для госпіталізації пацієнтів з підтвердженим випадком COVID-19, забезпечено ліжок киснем — 96, з яких 0 зайнято хворим на COVID-19 та 0 – пацієнтами з підозрою на COVID-19.

Інфографіка з сайту ОДА
Пресслужба ОДА з посиланням на дані обласного лабораторного центру надала інформацію щодо 4 нових летальних випадків, спричинених ускладненнями COVID-19.
Так, від ускладнень, викликаних коронавірусною хворобою, померли:
- 81-річний житель міста Коростень;
- 84-річна жителька Ємільчинського району;
- 77-річна жителька Баранівського району;
- 82-річна жителька міста Житомир.
Загалом на Житомирщині зареєстровано 615 летальних випадків від COVID-19 у:
- Андрушівському районі – 12;
- Баранівському районі – 15;
- Бердичівському районі – 62;
- Брусилівському районі – 1;
- Ємільчинському районі – 14;
- Житомирському районі – 37;
- Коростенському районі – 56;
- Коростишівському районі – 14;
- Лугинському районі — 7;
- Любарському районі – 8;
- Малинському районі – 28;
- Народицькому районі – 5;
- Новоград-Волинському районі – 49;
- Овруцькому районі – 15;
- Олевському районі – 11;
- Попільнянському районі – 12;
- Радомишльському районі – 11;
- Романівському районі – 13;
- Ружинському районі – 3;
- Пулинському районі – 9;
- Хорошівському районі – 13;
- Черняхівському районі – 20;
- Чуднівському районі – 17;
- м. Житомирі – 182.

За даними Міністра охорони здоров’я Максима Степанова, станом на 22 грудня 2020 року (за добу 21 грудня) в Україні зафіксовано 8 513 нових випадків коронавірусної хвороби COVID-19. Зокрема, захворіли 415 дітей та 368 медпрацівників.

Інфографіка з Facebook-допису Максима Степанова
Також за минулу добу
- госпіталізовано – 1 318 осіб;
- летальних випадків – 232;
- одужало – 14 020 осіб;
- здійснено тестувань за добу – 46 696 (зокрема методом ПЛР – 26 341, методом ІФА – 20 355).
За весь час пандемії в Україні
- захворіло – 979 506 осіб;
- одужало – 600 288 осіб;
- летальних випадків – 16 897;
- проведено ПЛР-тестувань – 5 307 601.
Як повідомляв Житомир.info, за добу 20 грудня 2020 року в Житомирській області лабораторно підтвердили 378 випадків коронавірусної хвороби, від ускладнень померли 5 пацієнтів.




















