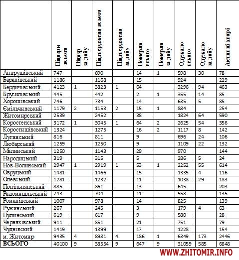
Станом на 09:00 год. 29 грудня в Житомирській області лабораторно підтверджено 38554 випадки коронавірусної хвороби. За минулу добу, 28 грудня, лабораторний центр провів 162 ПЛР-тестування та підтвердив 9 нових випадків COVID-19. За період пандемії померли 647 пацієнтів, у тому числі минулої доби – 9. Одужало загалом 31059 осіб.
Про це повідомляє пресслужба Житомирської облдержадміністрації з посиланням на інформацію в.о. директора ДУ «Житомирський обласний лабораторний центр» Юрія Лутая.
Всього випадків (з наростаючим підсумком) – 38554
Померло (всього) – 647
Всього одужало – 31059
Активні хворі – 6848
Всього проведено ПЛР-тестувань за добу – 162
Всього проведено ІФА-тестувань за добу – 938
Комунальне некомерційне підприємство «Обласний центр громадського здоров’я» Житомирської обласної ради надає інформацію станом на 28 грудня щодо заповненості ліжок у закладах охорони здоров’я області, визначених для госпіталізації пацієнтів з підтвердженим діагнозом COVID-19:
у лікарнях, які внесені до переліку закладів охорони здоров`я, що визначені для госпіталізації пацієнтів з гострою респіраторною хворобою COVID-19, спричиненою коронавірусом SARS-CoV-2, – всього 2525 ліжок, забезпечено ліжок киснем — 1835, визначених для госпіталізації пацієнтів з підтвердженим випадком COVID-19, з яких зайнято 654 хворими на COVID-19 та 208 – пацієнтами з підозрою на COVID-19 (34,14% від загальної кількості ліжок);
кількість ліжок у лікарнях резерву – всього 161 ліжко, визначене для госпіталізації пацієнтів з підтвердженим випадком COVID-19, забезпечено ліжок киснем — 110, з яких 0 зайнято хворим на COVID-19 та 0 – пацієнтами з підозрою на COVID-19.

Інфографіка з сайту ОДА
Так, від ускладнень, викликаних коронавірусною хворобою, померли:
61-річна жителька міста Житомир;
62-річний житель міста Коростень;
76-річна жителька Коростенського району;
69-річний чоловік та 79-річна жінка — житель Коростишівського району;
62-річний житель Брусилівського району;
64-річний житель Андрушівського району;
49-річна жителька Ємільчинського району;
43-річний житель міста Новоград-Волинський.
Загалом на Житомирщині зареєстровано 647 летальних випадків від COVID-19 у:
- Андрушівському районі – 14;
- Баранівському районі – 15;
- Бердичівському районі – 64;
- Брусилівському районі – 2;
- Ємільчинському районі – 15;
- Житомирському районі – 38;
- Коростенському районі – 64;
- Коростишівському районі – 16;
- Лугинському районі — 9;
- Любарському районі – 9;
- Малинському районі – 29;
- Народицькому районі – 5;
- Новоград-Волинському районі – 53;
- Овруцькому районі – 15;
- Олевському районі – 11;
- Попільнянському районі – 13;
- Радомишльському районі – 11;
- Романівському районі – 14;
- Ружинському районі – 3;
- Пулинському районі – 9;
- Хорошівському районі – 14;
- Черняхівському районі – 21;
- Чуднівському районі – 17;
- м. Житомирі – 186.
За даними Міністра охорони здоров’я Максима Степанова, станом на 29 грудня 2020 року (за добу 28 грудня) в Україні зафіксовано 6 988 нових випадків коронавірусної хвороби COVID-19. Зокрема, захворіли 324 дитини та 337 медпрацівників.

Інфографіка з Facebook-допису Максима Степанова
Також за минулу добу
- госпіталізовано – 1 298 осіб;
- летальних випадків – 232;
- одужало – 16 106 осіб;
- здійснено тестувань за добу – 43 585 (зокрема методом ПЛР – 25 965, методом ІФА – 17 620).
За весь час пандемії в Україні
- захворіло – 1 037 362 особи;
- одужало – 681 835 осіб;
- летальних випадків – 18 081;
- проведено ПЛР-тестувань – 5 511 179.
Як повідомляв Житомир.info, за добу 27 грудня 2020 року в Житомирської області лабораторно підтвердили 51 випадок коронавірусної хвороби, троє людей померли.




















