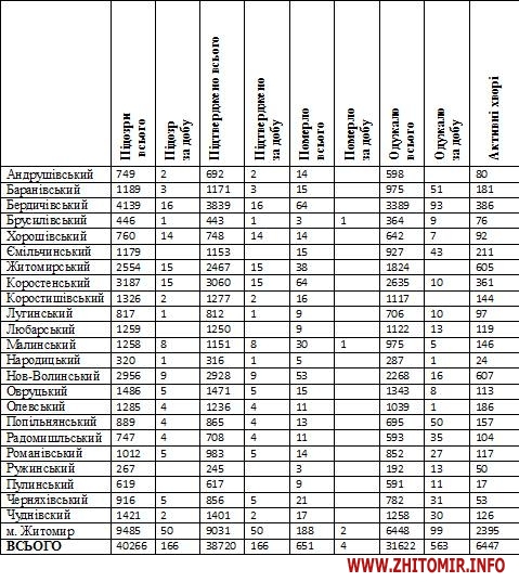
Станом на 09:00 год. 30 грудня в Житомирській області лабораторно підтвердили 38720 випадків коронавірусної хвороби. За минулу добу, 29 грудня, зареєстрували 166 нових випадків COVID-19. За період пандемії помер 651 пацієнт, у тому числі минулої доби зафіксували 4 летальні випадки. Одужало загалом 31622 особи.
Про це повідомляє пресслужба Житомирської облдержадміністрації з посиланням на інформацію в.о. директора ДУ «Житомирський обласний лабораторний центр» Юрія Лутая.
Всього випадків (з наростаючим підсумком) – 38720
Померло (всього) – 651
Всього одужало – 31622
Активні хворі – 6447
Всього проведено ПЛР-тестувань за добу – 456
Всього проведено ІФА-тестувань за добу – 1253
Комунальне некомерційне підприємство «Обласний центр громадського здоров’я» Житомирської обласної ради надає інформацію станом на 29 грудня щодо заповненості ліжок у закладах охорони здоров’я області, визначених для госпіталізації пацієнтів з підтвердженим діагнозом COVID-19:
у лікарнях, які внесені до переліку закладів охорони здоров`я, що визначені для госпіталізації пацієнтів з гострою респіраторною хворобою COVID-19, спричиненою коронавірусом SARS-CoV-2, – всього 2525 ліжок, забезпечено ліжок киснем — 1835, визначених для госпіталізації пацієнтів з підтвердженим випадком COVID-19, з яких зайнято 605 хворими на COVID-19 та 212 – пацієнтами з підозрою на COVID-19 (30,42% від загальної кількості ліжок);
кількість ліжок у лікарнях резерву – всього 161 ліжко, визначене для госпіталізації пацієнтів з підтвердженим випадком COVID-19, забезпечено ліжок киснем — 110, з яких 2 зайнято хворим на COVID-19 та 0 – пацієнтами з підозрою на COVID-19.

Інфографіка з сайту ОДА
Так, від ускладнень, викликаних коронавірусною хворобою, померли:
79-річний житель Брусилівського району;
72-річний чоловік та 54-річна жінка — жителі міста Житомир;
72-річний житель міста Малин.
Загалом на Житомирщині зареєстровано 651 летальний випадок від COVID-19 у:
- Андрушівському районі – 14;
- Баранівському районі – 15;
- Бердичівському районі – 64;
- Брусилівському районі – 3;
- Ємільчинському районі – 15;
- Житомирському районі – 38;
- Коростенському районі – 64;
- Коростишівському районі – 16;
- Лугинському районі — 9;
- Любарському районі – 9;
- Малинському районі – 30;
- Народицькому районі – 5;
- Новоград-Волинському районі – 53;
- Овруцькому районі – 15;
- Олевському районі – 11;
- Попільнянському районі – 13;
- Радомишльському районі – 11;
- Романівському районі – 14;
- Ружинському районі – 3;
- Пулинському районі – 9;
- Хорошівському районі – 14;
- Черняхівському районі – 21;
- Чуднівському районі – 17;
- м. Житомирі – 188.
За інформацією Міністра охорони здоров’я Максима Степанова, станом на 30 грудня 2020 року (за добу 29 грудня) в Україні зафіксовано 7 986 нових випадків коронавірусної хвороби COVID-19. Зокрема, захворіли 272 дитини та 453 медпрацівники.

Інфографіка з Facebook-допису Максима Степанова
Також за минулу добу
- госпіталізовано – 2 925 осіб;
- летальних випадків – 243;
- одужало – 16 355 осіб;
- здійснено тестувань за добу – 52 746 (зокрема методом ПЛР – 35 504, методом ІФА – 17 242).
За весь час пандемії в Україні
- захворіло – 1 045 348 осіб;
- одужало – 698 190 осіб;
- летальних випадків – 18 324;
- проведено ПЛР-тестувань – 5 546 683.
Як повідомляв Житомир.info, за добу 28 грудня 2020 року в Житомирській області лабораторно підтвердили 9 випадків COVID-19, померли 9 пацієнтів.




















