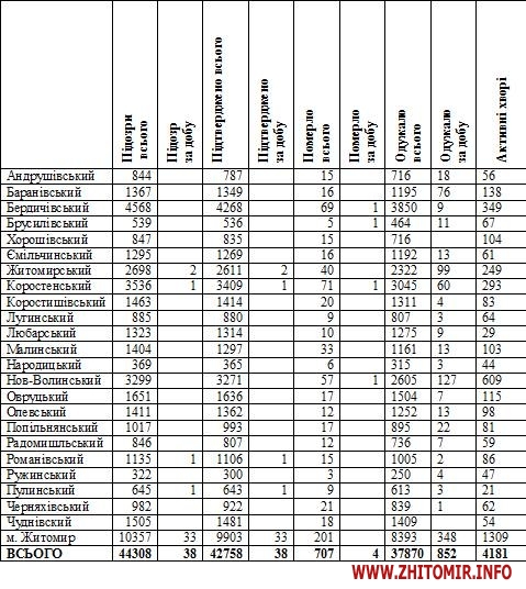
Станом на 9:00 год. 19 січня 2021 року в Житомирській області лабораторно підтвердили 42758 випадків коронавірусної хвороби. За минулу добу, 18 січня, обласний лабораторний центр зробив 185 ПЛР-тестів та підтвердив 38 випадків COVID-19. За період пандемії від ускладнень хвороби померли 707 пацієнтів, у тому числі четверо – минулої доби. Одужало загалом 37870 осіб.
Про це повідомляє пресслужба Житомирської облдержадміністрації з посиланням на інформацію в.о. директора ДУ «Житомирський обласний лабораторний центр» Юрія Лутая.
Всього випадків (з наростаючим підсумком) – 42758
Померло (всього) – 707
Всього одужало – 37870
Активні хворі – 4181
Всього проведено ПЛР-тестувань за добу – 185
Всього проведено ІФА-тестувань за добу – 1355
Комунальне некомерційне підприємство «Обласний центр громадського здоров’я» Житомирської обласної ради надає інформацію станом на 18 січня щодо заповненості ліжок у закладах охорони здоров’я області, визначених для госпіталізації пацієнтів з підтвердженим діагнозом COVID-19:
у лікарнях, які внесені до переліку закладів охорони здоров`я, що визначені для госпіталізації пацієнтів з гострою респіраторною хворобою COVID-19, спричиненою коронавірусом SARS-CoV-2, – всього 2525 ліжок, забезпечено ліжок киснем — 2089, визначених для госпіталізації пацієнтів з підтвердженим випадком COVID-19, з яких зайнято 513 хворими на COVID-19 та 181 – пацієнтами з підозрою на COVID-19 (25,84% від загальної кількості ліжок);
кількість ліжок у лікарнях резерву – всього 161 ліжко, визначене для госпіталізації пацієнтів з підтвердженим випадком COVID-19, забезпечено ліжок киснем — 112, з яких 0 зайнято хворим на COVID-19 та 0 – пацієнтами з підозрою на COVID-19.

Інфографіка з сайту ОДА
В ОДА з посиланням на дані обласного лабораторного центру надали інформацію про чотири нові летальні випадки, зафіксовані минулої доби.
Так, від ускладнень, викликаних коронавірусною хворобою, померли:
46-річний житель міста Бердичів;
85-річна жителька міста Коростень;
69-річна жителька Брусилівського району;
88-річна жителька міста Новоград-Волинський.
Загалом на Житомирщині зареєстровано 707 летальних випадків від COVID-19 у:
- Андрушівському районі – 15;
- Баранівському районі – 16;
- Бердичівському районі – 69;
- Брусилівському районі – 5;
- Ємільчинському районі – 16;
- Житомирському районі – 39;
- Коростенському районі – 71;
- Коростишівському районі – 20;
- Лугинському районі — 9;
- Любарському районі – 10;
- Малинському районі – 33;
- Народицькому районі – 6;
- Новоград-Волинському районі – 57;
- Овруцькому районі – 18;
- Олевському районі – 12;
- Попільнянському районі – 17;
- Радомишльському районі – 12;
- Романівському районі – 15;
- Ружинському районі – 3;
- Пулинському районі – 9;
- Хорошівському районі – 15;
- Черняхівському районі – 21;
- Чуднівському районі – 17;
- м. Житомирі – 201.
За даними Міністра охорони здоров’я Максима Степанова, станом на 19 січня 2021 року (за добу 18 січня) в Україні зафіксовано 3 939 нових випадків коронавірусної хвороби COVID-19. Зокрема, захворіли 131 дитина та 238 медпрацівників.

Інфографіка з Facebook-допису Максима Степанова
Також за минулу добу
госпіталізовано – 801 особа;
летальних випадків – 177;
одужало – 15 052 особи;
здійснено тестувань за добу – 33 400 (зокрема методом ПЛР – 18 734, методом ІФА – 14 666).
За весь час пандемії в Україні
захворіло – 1 167 655 осіб;
одужало – 886 248 осіб;
летальних випадків – 21 046;
проведено ПЛР-тестувань – 5 983 122.
Як повідомляв Житомир.info, за добу 17 січня 2021 року в Житомирській області лабораторно підтвердили 111 випадків коронавірусної хвороби, померли четверо людей.




















