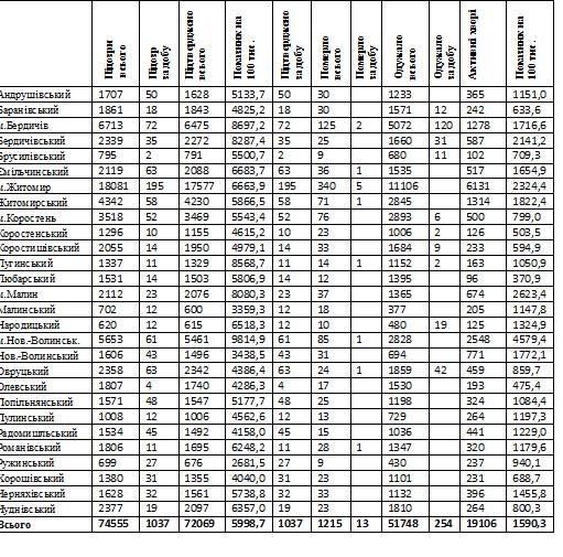
Станом на 9.00 1 квітня у Житомирській області лабораторно підтверджено 72069 випадків COVID-19, з яких упродовж останньої доби виявили нових 1037. За весь час пандемії від ускладнень померли 1215 жителів області, за минулу добу 31 березня – 13 летальних випадків. Одужали 51748 людей, наразі хворіє на коронавірус – 19106 жителів області.
Про це зранку 1 квітня повідомила пресслужба Житомирської ОДА з посиланням на інформацію заступника директора ДУ «Житомирський обласний лабораторний центр» Юрія Лутая.
Станом на 09:00 01.04.2021 (за минулу добу – 31 березня) зареєстровано 1037 нових лабораторно підтверджених випадків.
Всього випадків (з наростаючим підсумком) – 72069.
Померло (всього) – 1215.
За інформацією пресслужби ОДА, за минулу добу, 31 березня, від ускладнень, викликаних коронавірусною хворобою, померли:
- п’ять жителів міста Житомир — троє чоловіків віком 84, 81, 71 років та двоє жінок віком 68 років;
- 69-річний житель Лугинського району;
- двоє жительок міста Бердичів віком 73 та 63 років;
- 67-річний житель Романівського району;
- 60-річний житель Новоград–Волинського району;
- 72-річний житель Ємільчинського району;
- 64-річний житель Овруцького району;
- 65-річний житель Житомирського району.
За добу надійшло повідомлення на підозру – 1037. Всього підозр (з наростаючим підсумком) – 74555.
Всього одужало – 51748.
Активні хворі – 19106.
Всього проведено ПЛР-тестувань за добу – 2176. Всього проведено ПЛР-тестувань (з наростаючим підсумком) – 197967.
Всього проведено ІФА-тестувань за добу – 1042. Всього проведено ІФА-тестувань (з наростаючим підсумком) – 237733.

КНП «Обласний центр громадського здоров’я» Житомирської облради надає інформацію станом на 31 березня щодо заповненості ліжок у закладах охорони здоров’я області, визначених для госпіталізації пацієнтів із підтвердженим діагнозом COVID-19:
- у лікарнях, які внесені до переліку закладів охорони здоров`я, що визначені для госпіталізації пацієнтів з гострою респіраторною хворобою COVID-19, спричиненою коронавірусом SARS-CoV-2: всього ліжок – 2919, забезпечено ліжок киснем — 2572, з яких 1767 зайнято хворими на COVID-19 та 263 – пацієнтами з підозрою на COVID-19 (67,54% від загальної кількості ліжок);
- у лікарнях резерву: всього ліжко – 91, забезпечено ліжок киснем — 46, з яких 3 зайнято хворими на COVID-19 та 0 – пацієнтами з підозрою на COVID-19.

За даними пресслужби Міністерства охорони здоров’я, станом на ранок 1 квітня Житомирська область вкотре потрапила до п’ятірки регіонів – лідерів за кількістю зареєстрованих нових випадків коронавірусу.
«За останню добу найбільша кількість підтверджених випадків зареєстрована у м. Київ (1 150), Одеській (1 305), Хмельницькій (1 142), Львівській (1 141) та Житомирській (1 037) областях», - йдеться у повідомленні МОЗ.
Загалом за минулу добу в Україні зафіксовано 17 569 нових випадків коронавірусної хвороби COVID-19. Зокрема, захворіли 813 дітей та 486 медпрацівників. Також за минулу добу госпіталізовано – 5 160 осіб; летальних випадків – 421; одужало – 9 602 особи; здійснено тестувань за добу – 132 759 (зокрема методом ПЛР – 59 803, методом ІФА – 22 276, досліджень експрес-тестами на антиген до SARS-CoV-2 – 50 680). За весь час пандемії в Україні захворіло – 1 691 737 осіб; одужало – 1 323 083 особи; летальних випадків – 33 246; проведено ПЛР-тестувань – 8 179 905.
17 170 людей щеплено проти COVID-19 за добу 31 березня 2021 року в Україні. 248 736 людей щеплено від початку вакцинальної кампанії, з них отримали 1 дозу – 248 734 особи, завершили вакцинацію (отримали 2 дози) – 2 особи. За даними МОЗ, у Житомирській області щеплення від коронавірусу отримали 780 осіб.

Як повідомляв Житомир.info, станом на 9:00 год. 31 березня 2021 року в Житомирській області було лабораторно підтверджених 71032 випадки коронавірусної хвороби. За попередню добу, 30 березня, було зареєстровано 434 нових інфікування COVID-19. За період пандемії від ускладнень хвороби померли 1202 пацієнти (24 – за 30 березня).




















