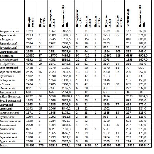
Станом на 9:00 год. 21 квітня 2021 року в Житомирській області лабораторно підтвердили 81518 випадків коронавірусної хвороби. За минулу добу, 20 квітня, було зареєстровано 276 нових інфікувань COVID-19. За період пандемії від ускладнень хвороби померли 1498 пацієнтів (20 – за минулу добу). Всього одужав 61591 житель області, нині активних хворих – 18429 осіб.
Про це повідомляє пресслужба Житомирської облдержадміністрації з посиланням на інформацію директора ДУ «Житомирський обласний лабораторний центр МОЗ України» Зиновія Парамонова.
Всього випадків (з наростаючим підсумком) – 81518
Померло (всього) – 1498
Всього одужало – 61591
Активні хворі – 18429
Всього проведено ПЛР-тестувань за добу – 750
Комунальне некомерційне підприємство «Обласний центр громадського здоров’я» Житомирської обласної ради надає інформацію станом на 20 квітня щодо заповненості ліжок у закладах охорони здоров’я області, визначених для госпіталізації пацієнтів із підтвердженим діагнозом COVID-19:
у лікарнях, які внесені до переліку закладів охорони здоров`я, що визначені для госпіталізації пацієнтів з гострою респіраторною хворобою COVID-19, спричиненою коронавірусом SARS-CoV-2: всього ліжок – 2939, забезпечено ліжок киснем — 2614, з яких 1377 зайнято хворими на COVID-19 та 207 – пацієнтами з підозрою на COVID-19 (53,9% від загальної кількості ліжок);
у лікарнях резерву: всього ліжко – 91, забезпечено ліжок киснем — 46, з яких 0 зайнято хворими на COVID-19 та 0 – пацієнтами з підозрою на COVID-19.

Інфографіка з сайту ОДА
Як інформує пресслужба ОДА з посиланням на дані обласного лабораторного центру, за минулу добу на Житомирщині зареєстровано 20 летальних випадків від коронавірусної інфекції.
Так, від ускладнень, викликаних коронавірусною хворобою, померли:
| Район/місто | Стать | Вік |
| Бердичів | Чоловіча | 88 |
| Бердичівський | Жіноча | 69 |
| Баранівський | Жіноча | 65 |
| Житомир | Чоловіча | 74 |
| Попільнянський | Чоловіча | 90 |
| Житомир | Жіноча | 80 |
| Житомир | Чоловіча | 83 |
| Бердичів | Чоловіча | 70 |
| Бердичів | Жіноча | 67 |
| Коростишівський | Жіноча | 60 |
| Ружинський | Чоловіча | 62 |
| Коростенський | Чоловіча | 66 |
| Коростень | Чоловіча | 72 |
| Лугинський | Чоловіча | 90 |
| Новоград-Волинський | Жіноча | 84 |
| Житомирський | Чоловіча | 79 |
| Житомирський | Жіноча | 77 |
| Житомир | Чоловіча | 66 |
| Брусилівський | Чоловіча | 69 |
| Ємільчинський | Жіноча | 84 |

За даними міністра охорони здоров’я Максима Степанова, станом на 21 квітня 2021 року (за добу 20 квітня) в Україні зафіксовано 12 162 нових випадки коронавірусної хвороби COVID-19. За останню добу найбільша кількість підтверджених випадків зареєстрована у м. Київ (965), Харківській (938), Київській (881), Запорізькій (845) та Дніпропетровській (771) областях.
Як повідомляв Житомир.info, за добу 19 квітня 2021 року в Житомирській області лабораторно підтвердили 123 випадки коронавірусної хвороби, від ускладнень померли 20 інфікованих.




















