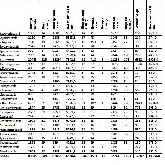
Станом на 9:00 год. 22 квітня 2021 року в Житомирській області лабораторно підтвердили 82062 випадки коронавірусної хвороби. За минулу добу, 21 квітня, було зареєстровано 544 нових інфікування COVID-19. За період пандемії від ускладнень хвороби померли 1511 пацієнтів (13 – за минулу добу). Всього одужали 62744 жителі області, нині активних хворих – 17807 осіб.
Про це повідомляє пресслужба Житомирської облдержадміністрації з посиланням на інформацію директора ДУ «Житомирський обласний лабораторний центр МОЗ України» Зиновія Парамонова.
Всього випадків (з наростаючим підсумком) – 82062
Померло (всього) – 1511
Всього одужало – 62744
Активні хворі – 17807
Всього проведено ПЛР-тестувань за добу – 1440
Комунальне некомерційне підприємство «Обласний центр громадського здоров’я» Житомирської обласної ради надає інформацію станом на 21 квітня щодо заповненості ліжок у закладах охорони здоров’я області, визначених для госпіталізації пацієнтів із підтвердженим діагнозом COVID-19:
у лікарнях, які внесені до переліку закладів охорони здоров`я, що визначені для госпіталізації пацієнтів з гострою респіраторною хворобою COVID-19, спричиненою коронавірусом SARS-CoV-2: всього ліжок – 2939, забезпечено ліжок киснем — 2622, з яких 1366 зайнято хворими на COVID-19 та 182 – пацієнтами з підозрою на COVID-19 (52,67% від загальної кількості ліжок);
у лікарнях резерву: всього ліжко – 91, забезпечено ліжок киснем — 46, з яких 0 зайнято хворими на COVID-19 та 0 – пацієнтами з підозрою на COVID-19.

Інфографіка з сайту ОДА
Як інформує пресслужба ОДА з посиланням на дані обласного лабораторного центру, за минулу добу на Житомирщині зареєстровано 13 летальних випадків від коронавірусної інфекції.
Так,від ускладнень, викликаних коронавірусною хворобою, померли:
| Район/місто | Стать | Вік |
| Коростишівський | Чоловіча | 77 |
| Бердичів | Чоловіча | 79 |
| Житомир | Чоловіча | 71 |
| Житомир | Жіноча | 76 |
| Черняхівський | Жіноча | 69 |
| Житомир | Жіноча | 70 |
| Коростишівський | Чоловіча | 27 |
| Коростенський | Чоловіча | 72 |
| Коростень | Жіноча | 74 |
| Житомир | Жіноча | 64 |
| Житомир | Жіноча | 59 |
| Житомир | Чоловіча | 87 |
| м.Новоград-Волинський | Чоловіча | 49 |

За даними міністра охорони здоров’я Максима Степанова, станом на 22 квітня 2021 року (за добу 21 квітня) в Україні зафіксовано 16 235 нових випадків коронавірусної хвороби COVID-19. Зокрема, захворіли 663 дитини та 319 медпрацівників. За останню добу найбільша кількість підтверджених випадків зареєстрована у м. Київ (1 673), Харківській (1 333), Запорізькій (995), Дніпропетровській (976) та Київській (887) областях.
Як повідомляв Житомир.info, за добу 20 квітня 2021 року в Житомирській області лабораторно підтвердили 276 випадків коронавірусної хвороби, померли 20 пацієнтів.




















