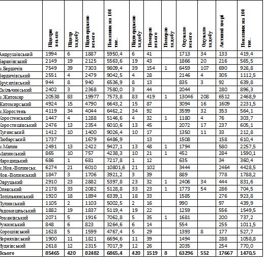
Станом на 9:00 год. 23 квітня 2021 року в Житомирській області лабораторно підтвердили 82482 випадки коронавірусної хвороби. За минулу добу, 22 квітня, було зареєстровано 420 нових інфікувань COVID-19. За період пандемії від ускладнень хвороби померли 1519 пацієнтів (8 – за минулу добу). Всього одужали 63296 жителів області, нині активних хворих – 17667 осіб.
Про це повідомляє пресслужба Житомирської облдержадміністрації з посиланням на інформацію директора ДУ «Житомирський обласний лабораторний центр МОЗ України» Зиновія Парамонова.
Всього випадків (з наростаючим підсумком) – 82482
Померло (всього) – 1519
Всього одужало –63296
Активні хворі – 17667
Всього проведено ПЛР-тестувань за добу –1040
Комунальне некомерційне підприємство «Обласний центр громадського здоров’я» Житомирської обласної ради надає інформацію станом на 22 квітня щодо заповненості ліжок у закладах охорони здоров’я області, визначених для госпіталізації пацієнтів із підтвердженим діагнозом COVID-19:
у лікарнях, які внесені до переліку закладів охорони здоров`я, що визначені для госпіталізації пацієнтів з гострою респіраторною хворобою COVID-19, спричиненою коронавірусом SARS-CoV-2: всього ліжок – 2939, забезпечено ліжок киснем — 2622, з яких 1350 зайнято хворими на COVID-19 та 168 – пацієнтами з підозрою на COVID-19 (51,65% від загальної кількості ліжок);
у лікарнях резерву: всього ліжко – 91, забезпечено ліжок киснем — 46, з яких 0 зайнято хворими на COVID-19 та 0 – пацієнтами з підозрою на COVID-19.

Інфографіка з сайту ОДА
Як інформує пресслужба ОДА з посиланням на дані обласного лабораторного центру, за минулу добу на Житомирщині зареєстровано 8 летальних випадків від коронавірусної інфекції.
Так, від ускладнень, викликаних коронавірусною хворобою, померли:
| Район/місто | Стать | Вік |
| Романівський | Жіноча | 78 |
| Бердичів | Чоловіча | 66 |
| Олевський | Жіноча | 76 |
| Коростенський | Жіноча | 68 |
| Коростенський | Чоловіча | 69 |
| Малин | Жіноча | 80 |
| Малинський | Жіноча | 81 |
| Овруцький | Чоловіча | 70 |

За даними міністра охорони здоров’я Максима Степанова, станом на 23 квітня 2021 року (за добу 22 квітня) в Україні зафіксовано 14 277 нових випадків коронавірусної хвороби COVID-19. Зокрема, захворіли 591 дитина та 277 медпрацівників. За останню добу найбільша кількість підтверджених випадків зареєстрована у Дніпропетровській (1 296), м. Київ (1. 269), Харківській (1 137), Львівській (926) та Київській (922) областях.
Як повідомляв Житомир.info, за добу 21 квітня 2021 року в Житомирській області лабораторно підтвердили 544 випадки коронавірусної хвороби COVID-19, від ускладнень померли 13 людей.




















