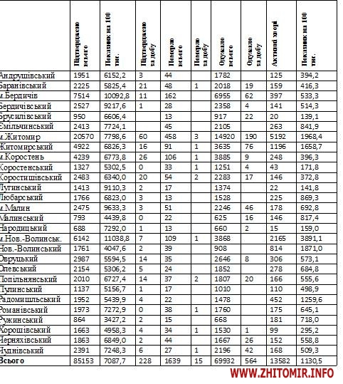
Cтаном на 09:00 год. 07 травня (за минулу добу – 06 травня) у Житомирській області зареєстровано 228 нових лабораторно підтверджених випадків коронавірусної хвороби, 15 людей померли.
Про це повідомляє пресслужба Житомирської облдержадміністрації з посиланням на інформацію директора ДУ «Житомирський обласний лабораторний центр МОЗ України» Зиновія Парамонова.
- Всього випадків (з наростаючим підсумком) –85153
- Померло (всього) –1639
- Всього одужало –69932
- Активні хворі –13582
- Всього проведено ПЛР-тестувань за добу –883
- Всього проведено ПЛР-тестувань (з наростаючим підсумком) –232458
- Всього проведено ІФА-тестувань за добу – 582
- Всього проведено ІФА-тестувань ( з наростаючим підсумком) –275837

Комунальне некомерційне підприємство “Обласний центр громадського здоров’я” Житомирської обласної ради надає інформацію станом на 06 травня щодо заповненості ліжок у закладах охорони здоров’я області, визначених для госпіталізації пацієнтів із підтвердженим діагнозом COVID-19:
- у лікарнях, які внесені до переліку закладів охорони здоров`я, що визначені для госпіталізації пацієнтів з гострою респіраторною хворобою COVID-19, спричиненою коронавірусом SARS-CoV-2: всього ліжок – 2939, забезпечено ліжок киснем — 2622, з яких 856 зайнято хворими на COVID-19 та 137 – пацієнтами з підозрою на COVID-19 (33,79% від загальної кількості ліжок);
- у лікарнях резерву: всього ліжко – 91, забезпечено ліжок киснем — 46, з яких 0 зайнято хворими на COVID-19 та 0 – пацієнтами з підозрою наCOVID-19.
За даними лабораторного центру за минулу добу на Житомирщині зареєстровано 15 летальних випадків від коронавірусної інфекції.
Так, від ускладнень, викликаних коронавірусною хворобою, померли:
| Район/місто | Стать | Вік |
| Житомир | Чоловіча | 73 |
| Житомир | Чоловіча | 82 |
| Житомир | Чоловіча | 74 |
| Попільнянський | Чоловіча | 82 |
| Попільнянський | Чоловіча | 72 |
| Чуднівський | Чоловіча | 53 |
| Коростишівський | Чоловіча | 86 |
| м.Новоград-Волинський | Жіноча | 72 |
| Баранівський | Чоловіча | 53 |
| Коростенський | Чоловіча | 48 |
| Коростень | Чоловіча | 64 |
| Хорошівський | Чоловіча | 64 |
| Романівський | Жіноча | 85 |
| Житомирський | Чоловіча | 66 |
| Коростишівський | Жіноча | 45 |
Як повідомляв Житомир.info, станом на 09:00 06.05.2021 (за минулу добу – 05 травня) зареєстровано 107 нових лабораторно підтверджених випадків. Від ускладнень померли 7 пацієнтів.




















