На підставі звернень юридичних та фізичних осіб від початку червня і до 10 липня комісія обстежила та склала акти на видалення зелених насаджень у різних районах Житомира.
Дозвіл на видалення дерев надали рішенням виконкому, яке ухвалили на позачерговому засіданні 10 липня. Зокрема, зріжуть 50 дерев у гідропарку.
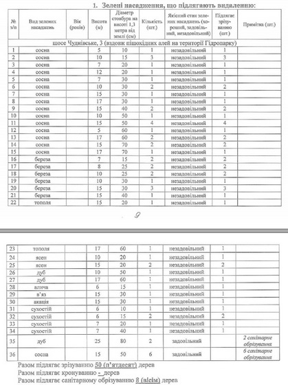
«По зверненню КП «Парк» було обстежено територію алеї вздовж пішохідних доріжок у гідропарку і вибракувано лише аварійні, сухостійні дерева. Вони несуть певну небезпеку для мешканців міста, які відвідують гідропарк і там відпочивають. Загальна кількість зелених насаджень – 50», - сказала начальник відділу екології та природних ресурсів міської ради Поліна Мурашевська.

Скриншот з акту обстеження дерев у гідропарку
Загалом у додатку до проєкту рішення було 23 актив обстеження зелених насаджень за зверненнями ОСББ, комунальних та приватних підприємств.
Нагадаємо, на засідання Житомирського міськвиконкому 5 червня цього року затвердили 40 актів обстеження зелених насаджень і дозволили видалити 252 дерева.
Як повідомляв Житомир.info, в серпні 2023 року у житомирському гідропарку зібрали журналістів, щоб розповісти про результати роботи комісії з обстеження зелених насаджень – видаленню підлягають 64 дерева. В жовтні цього ж року КП «Парк» шукало підрядника, який за 247 тис. грн зріже 64 дерева у гідропарку.




















